Пірол, азол (грец. pyr — вогонь) — п’ятичленна гетероциклічна сполука з одним гетероатомом. Ароматична система утворена двома парами електронів подвійного зв’язку і неподіленою парою електронів атома N (π-надлишковий гетероцикл). Молекула П. плоска, полярна, напрямок диполя — від атома N у середину кільця; мол. м. 67,094; безбарвна рідина з запахом хлороформу; Тпл =23,4 °С, Ткип =130 °С; d204 =0,9698; n20D =1,5086; рКа 17,5 (вода), гігроскопічний, погано розчинний у воді; змішується у всіх співвідношеннях з більшістю органічних розчинників; на повітрі швидко окиснюється й темніє.

П. — слабка NH-кислота. При взаємодії з металічним К чи Na, безводним калію гідроксидом, з амідами натрію чи калію, з реактивами Гріньяра в ефірі П. утворює солі, котрі алкілуються й ацилюються за атомом N. Для П. характерні реакції електрофільного заміщення, які переважно протікають по α-вуглецевому атому:

Протонування П. мінеральними кислотами призводить до порушення ароматичної системи, а це, у свою чергу, — до полімеризації (утворюється так званий пірол-червоний). У зв’язку з ацидофобністю П. нітрують ацетилнітратом, сульфують комплексом піридин — SO3 при 100 °С:


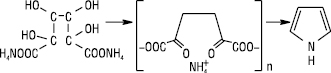
Активні алкілгалогеніди (амін- та бензилгалогеніди) за наявності слабких основ алкілують П. у положення 2 і 5, а СН3І при 100–150 °С — також і в положення 3 і 4. Для ацилювання П. як електрофільний реагент використовують ангідрити кислот за наявності кислот Льюїса. П. легко гідролізується в піролідин (Kat — Pt, Pd, Ni-Ренея). Відновленням Zn і НСl може бути виділений 3-піролін, а внаслідок гідрування над платиновим чи паладієвим каталізатором — тетрагідропірол (піролідин). П. дуже чутливий до дії окисників, окиснюється на світлі киснем повітря в імід бурштинової кислоти, хромовою кислотою — на малеїнамід. У солянокислому розчині п-диметиламінобенз-альдегіду (реактив Еріха) П. дає червоне забарвлення, з SeO2 у водному розчині — фіолетове, з ізатином утворює осад синього кольору. Ідентифікують П. у вигляді комплексу з HgCl2 (Тпл =143 °С). П. можна добути перегонкою амонієвої солі слизової кислоти (синтез Пааля — Кнора):

+2СО2+4H2О+NH3
перегонкою іміду бурштинової кислоти з Zn (пил):

пропусканням ацетилену і NH3 через прокалену трубку за наявності Fe (III) або Pb оксидів:

каталітичним амоналізом тіофену і фурану за наявності Al2O3 (реакція Юр’єва):

П. міститься в кам’яновугільній смолі. Пірольний цикл є структурним фрагментом важливих біогенних сполук — амінокислот (проліну, оксипроліну, триптофану), алкалоїдів, гемоглобіну, хлорофілу, жовчі, вітаміну В12, деяких антибіотиків, а також є структурним фрагментом деяких світлостійких фталоціанінових барвників.
П. використовують у синтезі піролідину і деяких ЛП. Найважливішими похідними П. є піролідон-2, полімеризацією якого добувають полівінілпіролідон (ПВП):

Колоїдні розчини низькомолекулярного ПВП застосовують для приготування кровозамінника Гемодезу, середньомолекулярний ПВП використовують у фармпромисловості як в’яжучий засіб у виробництві таблеток. Унаслідок сополімеризації вінілпіролідону, акриламіду та етакрилату одержують біорозчинний полімер для офтальмологічних плівок. Пролін (піролідин-2-карбонова кислота) та оксипролін (4-гідроксипіролідин-2-карбонова кислота) входять до складу білків, напр. колагену. Порфін і його похідні у вигляді комплексів з металами входять до складу гемоглобіну та хлорофілу. Ціанокобаламін (вітамін В12) використовують у медицині для лікування анемії, захворювань нервової системи та печінки.
П. помірно токсичний, його пари викликають стійке підвищення температури тіла, ЛД50 74 мг/кг (кролі, перорально).
Иванский В.И. Химия гетероциклических соединений. — М., 1978; Нейланд О.Я. Органическая химия. — М., 1990; Терней А. Современная органическая химия. — М., 1981.
