ПУРИН (лат. purus — чистий) (імідазо[4,5-d]піримідин) — ароматична конденсована гетероциклічна сполука.

П. — безбарвна речовина з Тпл =217 °С, легкорозчинна у воді та теплому спирті, погано — в етері, хлороформі, ацетоні; стійкий до дії окисників. Наявність імідазольного циклу призводить до появи азольної таутомерії:

У кристалічному стані перебування атома гідрогену в положенні 7 більш імовірне. П. — амфотерна сполука, утворює солі як з кислотами (рКа 8,96), так і з лугами (рКа 2,3):

При взаємодії П. з діазометаном утворюється 9-N-метилпурин:

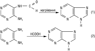
П. найчастіше одержують термічною обробкою 4-аміно-5-карбамінопіримідину (1) або взаємодією 4,5-діамінопіримідину з мурашиною кислотою (2):

Найважливішими похідними П. є оксо- та амінопурини. До оксопуринів належать сечова кислота (2,6,8-триоксопурин) (І), ксантин (2,6-діоксопурин) (ІІ) та гіпоксантин (6-оксопурин) (ІІІ):



Оксопохідні П. — таутомерні сполуки (лактам-лактимна таутомерія):



У кристалічному стані вони існують в оксоформі; в розчинах установлюється динамічна рівновага, яка зміщена в бік оксоформи.
Сечова кислота — безбарвна кристалічна речовина з Трозклад =400 °С, поганорозчинна у воді, етанолі, етері, розчинна в розведених лугах та гліцерині. Як двоосновна (рКа1 5,75; рКа2 10,3), вона утворює два ряди солей (уратів). Кислі урати, за винятком літію, малорозчинні у воді сполуки, середні урати лужних металів добре розчиняються у воді. Сечова кислота легко алкілується за атомами азоту, з POCl3 утворює 2,6,8-трихлорпурин. Під дією азотної кислоти вона окиснюється з утворенням суміші алоксану (ІV) та діалурової кислоти (V), які, взаємодіючи між собою, дають алоксантин (VІ). Останній під дією аміаку перетворюється на пурпурну кислоту (VII), яка з надлишком NH3 утворює мурексид (пурпурат амонію) (VIII). Ця реакція дістала назву мурексидна реакція, вона використовується для якісного визначення сечової кислоти та інших сполук, які містять ядро П.:
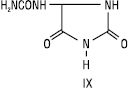
При окисненні сечової кислоти в нейтральному або в лужному середовищі руйнується піримідинове ядро й утворюється алантоїн (IX):

Сечова кислота — кінцевий продукт обміну пуринових сполук в організмі людини. В нормальній сечі людини вона знаходиться в незначній кількості, але при певних порушеннях обміну речовин (подагра) виділення сечової кислоти різко збільшується. При сечокам’яній хворобі сечового міхура та нирок сечова кислота та урати становлять майже основну частину каменів. Синтетично сечову кислоту отримують з барбітурової кислоти або з сечовини та ціанооцтового естеру.
Ксантин і гіпоксантин за хімічними властивостями аналогічні сечовій кислоті. Подібно до сечової кислоти вони утворюють солі з лугами, але, на відміну від неї, ксантин і гіпоксантин є амфотерними сполуками і взаємодіють з мінеральними кислотами (ксантин: рКа1 0,8; рКа2 7,44; рКа3 11,2; гіпоксантин: рКа1 8,94; рКа2 12,10). Ксантин і гіпоксантин широко розповсюджені в рослинному та тваринному світі. Ксантин проявляє сильну діуретичну дію. Його використовують для синтезу алкалоїдів теоброміну та кофеїну. Гіпоксантин входить до складу глікозидів — інозин (рибозилгіпоксантин) і дезоксиінозин (дезоксирибозилгіпоксантин), які є компонентами нуклеотидів. Його одержують гідролізом природних сполук (нуклеїнових кислот), а також синтетичним шляхом.
До найважливіших амінопохідних пурину належать аденін (6-амінопурин) (Х) та гуанін (2-аміно-6-гідроксипурин) (ХІ), які входять до складу нуклеїнових кислот як пуринові основи:

Аденін та гуанін — безбарвні кристалічні речовини. Аденін (Тпл =325 °С) розчиняється у воді, це сильна основа (рКа 4,25), здатна утворювати солі з сильними мінеральними кислотами за атомом азоту N-1. Гуанін (Тпл >350 °С) — нерозчинна у воді речовина. Протонування гуаніну (рКа 3,0) відбувається по атому азоту N-7. В організмі внаслідок дезамінування вони перетворюються на гіпоксантин та ксантин, які, у свою чергу, окиснюються до сечової кислоти. Деякі аналоги аденіну й гуаніну відомі як потенційні хіміотерапевтичні речовини. Тіогуанін (ХІІ) та меркаптопурин (ХІІІ) успішно використовують для лікування гострої лейкемії, азатіопурин (XIV) — як імунодепресант.


Ядро П. входить до складу деяких антибіотиків; П. та його похідні виявляють противірусну та антиалергічну активність.
Джилкрист Т. Химия гетероциклических соединений. — М., 1996; Черних В.П., Зіменковський Б.С., Гриценко І.С. Органічна хімія / За заг. ред. В.П. Черних. — Х., 2008.
