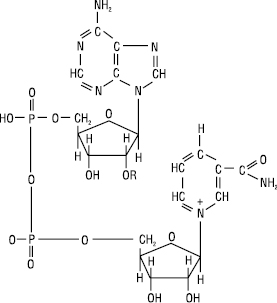
НІКОТИНАМІДНІ КОФЕРМЕНТИ — похідні вітаміну РР (нікотинаміду). Нікотинамідаденіндинуклеотид (НАД+) та нікотинамідаденіндинуклеотидфосфат (НАДФ+) входять до складу ферментів дегідрогеназ, які належать до класу оксидоредуктаз. За хімічною природою ці коферменти є динуклеотидами, в яких є мононуклеотиди аміду нікотинової кислоти та аденіну, сполучені за допомогою кисневого містка між залишками фосфату (НАД+). НАДФ+, крім того, містить ще один залишок фосфату біля С2-атома рибози аденозинмонофосфату:

де R — Н(НАД+) або фосфат (НАДФ+).
Вперше Н.к. були відкриті в 1904 р. А. Карденом у дріжджовому екстракті. Їх будову встановлено в 1936 р. О. Варбургом. Н.к. виконують роль проміжних акцепторів протонів і електронів від субстратів, що окиснюються, на різні акцептори в системі дихального ланцюга, забезпечують поетапне окиснення численних метаболітів обміну білків, ліпідів, вуглеводів. Механізм взаємодії Н.к. під час біологічного окиснення полягає в їх здатності до оборотного окиснення — відновлення.

НАД+ НАД·Н+Н+ (або НАДФ·Н+Н+)
Окиснена форма Відновлена форма
Здатність НАД+ і НАДФ+ виконувати функцію проміжного переносника водню пов’язана з наявністю в їх структурі аміду нікотинової кислоти. Один з атомів водню (Н+ і е–), відщеплених від субстрату, приєднується до вуглецю нікотинамідного кільця в положенні 4. Електрон другого атома водню (Н+, е–) приєднується на зовнішній енергетичний рівень електропозитивного атома азоту в положенні 1, нейтралізуючи його позитивний заряд, а протон (Н+) переходить у середовище, підкиснюючи його. У процесі приєднання електронів і протонів змінюється структура піридинового гетероциклу. Кільце нікотинаміду, яке в окисненій формі мало 3 подвійні зв’язки, відновлюється і має 2 подвійні зв’язки. Особливістю НАД-залежних дегідрогеназ є те, що вони забезпечують перебіг процесів, пов’язаних з виділенням та акумулюванням енергії в макроергічних зв’язках АТФ. Крім того, НАДФ·Н+Н+ відіграє важливу роль донора протонів водню в процесах синтезу багатьох біополімерів клітини.
Боєчко Ф.Ф., Боєчко Л.О. Основні біохімічні поняття, визначення і терміни. — К., 1993; Вороніна Л.М., Десенко В.Ф., Мадієвська Н.М. та ін. Біологічна хімія. — Х., 2000; Губський Ю.І. Біологічна хімія. — К.–Тернопіль, 2000.
