ВИРОБНИЧА ПОТУЖНІСТЬ у фармацевтичній галузі — максимально можливий випуск ЛП, АФІ і медичних виробів необхідної якості в передбаченій номенклатурі за певний час (зміну, добу, місяць, рік) при повному завантаженні обладнання та виробничих площ у прийнятому режимі роботи. В.п. визначається у натуральному та вартісному вимірі. Відрізняють проектну, планову та фактичну В.п. Проектна В.п. — величина можливого випуску продукції за одиницю часу за умов проектування чи реконструкції виробничої одиниці; вона є фіксованою величиною при постійній умовній номенклатурі й постійному режимі роботи. Планова В.п. — обсяг випуску продукції, який передбачається виробити за плановий період, тобто вона відображає очікувані зміни у номенклатурі продукції, технології та організації виробництва, передбачені на плановий період. Діюча В.п. відображає здатність цеху, лінії чи агрегату виробляти максимально можливу кількість продукції, передбачену планом, за певний період. В.п. є величиною динамічною. Залежно від часу вона поділяється на вхідну, вихідну та середньорічну. Вхідна В.п. — це потужність на початок планового періоду, яка визначається з урахуванням виробничих фондів, робочої сили та інших ресурсів, наявних у ФП на початок року. Вихідна В.п. — потужність на кінець планового періоду, що визначається з подальшим коригуванням при відповідній зміні техніки і технології. Середньорічна В.п. — середня потужність цеху або ліміт за рік. На величину В.п. впливають структура і величина основних фондів, рівень фізичного та морального зношення обладнання, прогресивність технологічних процесів, режим роботи ФП, рівень організації фармацевтичного виробництва, фонд робочого часу обладнання, вихід продукції із сировини, продуктивність обладнання тощо. Для визначення величини В.п. використовують кількість однотипного обладнання, його продуктивність й ефективний фонд робочого часу обладнання. Суттєвий вплив на В.п. чинить фонд часу роботи виробничого обладнання, який залежить від режиму роботи ФП. Поняття режиму роботи включає кількість робочих змін, тривалість робочого дня та робочої зміни. Залежно від втрат часу, які враховують при обчисленні В.п. та при її плануванні, розрізняють календарний, номінальний і ефективний плановий фонд часу роботи обладнання. Календарний фонд — це добуток кількості календарних днів у плановий період і кількості годин у робочих змінах. Напр., для періоду в 1 рік при тризмінній роботі з тривалістю зміни 8 год він становить: 365·24=8760 (год). Номінальний фонд визначається режимом роботи ФП і дорівнює добутку кількості робочих днів у році та кількості годин у робочих змінах. Напр., при 6-денній роботі та 8-годинному режимі номінальний фонд становить: (365–53)·8=312·8=2496 (год), а при 5-денному робочому тижні і 8-годинному режимі номінальний фонд становить:
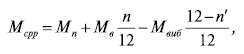
(365–53–52)·8=260·8=2080 (год). Ефективний фонд часу дорівнює номінальному за винятком часу на планово-попереджувальні роботи. Середньорічна В.п. (Мсрр):

де Мп — потужність на початок року; Мв — В.п., яка вводиться у плановий період; n — кількість місяців роботи обладнання, яке повторно вводиться в експлуатацію; Мвиб — В.п. обладнання, яке вибуває з роботи у плановий період; n’ — кількість місяців роботи обладнання, що вибуває з ладу, протягом року. В.п. визначається за всією номенклатурою ЛП, АФІ і медичних виробів. Якщо ФП випускає кілька видів продукції, то В.п. визначається окремо для кожного його виду. Напр., на ФП обчислюють окрему потужність виробництва ін’єкційних розчинів, таблеток, лініментів тощо та окремо за кожним видом медичних виробів. Шляхи підвищення ефективності використання В.п. на ФП: інтенсивний (за рахунок впровадження нової техніки, збільшення кількості обладнання тощо); ефективний (за рахунок оптимізації тривалості технологічного процесу, зміни режиму роботи цеху, ФП чи групи обладнання тощо). На сучасному етапі головними чинниками підвищення ефективності використання В.п. ФП є впровадження прогресивного обладнання та технологій.
Бухалков М.И. Внутрифирменное планирование. — М., 2000; Посилкіна О.В., Сагайдак Р.В. Планування діяльності підприємства. — Х., 2002; Тарасюк Г.М., Шваб Л.І. Планування діяльності підприємства. — К., 2003; Фатхудинов Р.А. Организация производства. — М., 2001; Fisher M. L. What is the Right Supply Chain for Your Products? — Harvard, 1997; Heizer J.H., Render B. Production and Operations Management: Strategies and Tactics. — Boston, 1993.
