ЛІГНАНИ (лат. lignum — деревина, оскільки біосинтез подібний до біосинтезу високомолекулярного лігніну). Останній виявлено лише у рослин, тому Л. вважаються суто рослинними метаболітами. Однак не так давно в сечі людини виявлено сполуки, які мають структуру Л. (ентеролактон і ентеродіол), вірогідно, ендогенного походження й пов’язані з процесами відтворення ссавців. Термін вперше був запропонований Хеуортом у 1936 р. Він дав таке визначення терміну: Л. — це група оптично активних речовин, які мають β,γ-дибензилбутановий скелет і які можна зобразити у формі двох фенілпропанових залишків, зв’язаних β,β′-атомами вуглецю бічних н-пропільних ланцюгів. Фенольне ядро у Л. може містити замісники, бічний ланцюг може бути різного ступеня окисненості, в деяких випадках вуглецевий скелет може бути модифікований циклізацією з утворенням похідних тетрагідрофурану, тетрагідрофурофурану чи тетрагідронафталіну.
Про біосинтез Л. відомо небагато. Вірогідно, вуглецевий скелет Л. утворюється внаслідок ферментативної димеризації сполук типу коричних спиртів:
,
де R — CH2OH, або -COOH; *хіральний центр.
Ініціатором реакції служить гідрид-іон, але можливі й інші механізми, найбільш вірогідний за інші — вільнорадикальний. Вуглецеві атоми фенілпропанового скелета прийнято нумерувати як показано нижче, а Л. точніше визначаються як речовини, в яких мономерні фрагменти з’єднуються β — β′ зв’язком («хвіст до хвоста»), або, інакше, як похідні 1,4-діарил-2,3-диметилбутану. Продукти інших способів з’єднання фенілпропанових молекул («голова до хвоста») відносять до неолігнанів.


Класифікація Л. базується на будові вуглецевого скелета.
1. Похідні β,γ-дибензилбутану (або діарилбутановий тип):

Гваяретова кислота

Дигідрогваяретова кислота

Кубебін
До цієї групи належать Л., які містяться у смолі, що отримується з деревини гваякового дерева (Guajacum officinale L.) — гваяретова та дигідрогваяретова кислоти, а також у плодах кубеби (Рiper cubeba L.) — кубебін. Гваяретова кислота має антиоксидантні та антимікробні властивості, у зв’язку з чим тривалий час використовувалася як добавка до харчових жирів, що запобігала їх згіркненню. Але потім з’ясувалося, що сполука досить токсична і проявляє мутагенну дію. Тому зараз у харчовій промисловості її не використовують.
2. Похідні 1-фенілтетрагідронафталіну:

3. Похідні 1-фенілтетрагідронафталін-2,3-лактону, виявлені у смолі та під-земних органах подофілу щитковидного (Podophyllum peltatum L.) — подофілотоксин, ά, β-пельтатини, які використовуються як цитостатики:
,
де R=OH — ά-пельтатин,
R=OСН3 — β-пельтатин

Подофілотоксин
4. Похідні β,γ-дибензилбутиролактону — арктіїн з Arctium, який має протимікробну активність; дибензилбутиролактони, які містяться у Bursera schlechtendalii і виявляють цитостатичну активність:

Арктіїн
,
де R=Н або R=OCH3
Дибензилбутиролактони (бурсерани)
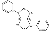
5. Похідні 3,4-дибензилтетрагідрофурану:

6. Похідні 2,5-дифенілтетрагідрофурану:

7. Похідні 2-феніл-4-бензилтетрагідрофурану — ларицирезинол із смоли Larix decidua:


Ларицирезинол
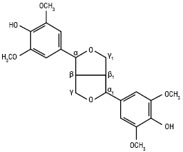
8. Похідні 2,6-дифенілтетрагідрофурофурану (3,7-діоксабіцикло[3.3.0] октановий або сезаміновий тип) містяться в кореневищах і коренях елеутерококу колючого (Eleutherococcus senticosus (Rupr. еt Maxim.) Maxim. — сирингорезинол і його глікозиди: елеутерозид Є (має тонізувальну активність), ліріодендрин (проявляє цитотоксичну і протипухлинну властивості); насінні кунжуту (Sesamum indicum L.) — сезамін, який проявляє антигеморагічну дію; пінорезинол у різних видів сосен:

Сезамін

Пінорезинол

Сирингорезинол

Схізандрин

Дезоксисхізандрин
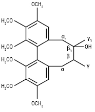
9. Похідні дибензоциклооктадієну (діарилоктановий або стегановий тип), містяться у плодах і насінні лимонника китайського (Schisandra chinensis (Turcz.) Baill.), напр. схізандрин, дезоксисхізандрин, які зумовлюють адаптогенну та гепатопротекторну активність цієї ЛРС. Із Steganotaemia araliaceae виділено стеганацин, який проявляє колхіциноподібну дію і розглядається як перспективний антилейкемічний препарат.
10. Похідні діарилциклобутану:

На сьогодні відомо близько 200 представників Л. Вони наявні в деревині як листопадних, так і хвойних порід. Часто є серед представників соснових, айстрових, аралієвих, барбарисових, рутових, кунжутних, лимонникових та ін. Накопичуються у всіх органах, але найчастіше в насінні, корінні, здерев’янілих стеблах рослин. У рослинах зазвичай містяться в розчиненому стані в жирних та ефірних оліях, смолах, інколи випадають у вигляді «намистин» (у лимоннику), тому їх досить довго не могли виділити в індивідуальному стані. Нещодавно з’явилися повідомлення про те, що полісахариди злакових у кишечнику людини при бактеріальному розщепленні утворюють лігнани, зокрема ентеролактон і ентеродіол. За структурою вони дуже близькі до синтетичних естрогенів стильбестролу і гексестролу, але не мають естрогенної активності і, конкуруючи з естрогенами, блокують відповідні рецептори. Оскільки 30–50% усіх пухлин кишечнику мають рецептори, які зв’язуються з естрогенами, то лігнани блокують проліферативну дію естрогенів на епітелій кишечнику.
Л. — кристалічні речовини, добрерозчинні у спирті, хлороформі, бензолі, діетиловому ефірі; нерозчинні у воді. Хімічні властивості Л. залежать від індивідуальної структури речовин і притаманні фенольним сполукам взагалі. В УФ-світлі Л. мають характерну флуоресценцію — жовту чи блакитну. Методи аналізу ЛРС, що містить Л., розроблені недостатньо.
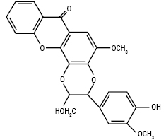
Неолігнани — сполуки, в яких фенілпропанові фрагменти зв’язуються між собою інакше, ніж β-β′-зв’язком пропанових ланцюжків. У цій групі природних сполук відомо багато типів хімічних структур, більшість з яких отримали свої особисті назви. Деякі неолігнани викликають інтерес як сполуки, що мають гіпотензивну, антиалергічну, протизапальну дію. У медицині застосовуються флаволігнани з насіння розторопші плямистої (Silybum marianum (L.) Gaertn.) — силібін, силідіанін, силікристин, які проявляють гепатопротекторну активність і є компонентами деяких гепатопротекторних препаратів:

Силібін
Флавонол містить коніфериловий спирт — це тип 1,4-діоксанів. Такі сполуки містяться у Rhodiola rosea, Cassia.

Силікристин
Такі сполуки містяться у Silybum marianum.

Неогіднокарпін (одержаний з Hypericum, Silybum).

Егіцин (характерні для родин Silybum).
Ксантолігнани (сполуки містяться у Hypericum perforatum (корені), Hypericum elegans (трава).

Кількорин
Кумаринолігнани (наявні в родині бобових — Fabaceae).

Дафнетицин
Неолігнан кадсуренон, виділений з листя Piper futocadsura, є одним з антагоністів дії тромбоцитоактивуючого фактора, який викликає агрегацію тромбоцитів. До індукторів простаноїду простацикліну, який запобігає агрегації тромбоцитів, належить дигідробензофуран з листя Ziziphus jujubа:

Кадсуренон

Дигідробензофуран із Ziziphus jujubа
Блажий А., Шутый Л. Фенольные соединения растительного происхождения. — М., 1997; Гудвин Т., Мерсер Э. Введение в биохимию растений. В 2 т. — М., 1986.; Семенов А.А. Очерк химии природных соединений. — Новосибирск, 2000; Whiting D.A. Lignanes and neolignanes // Nat. Prod. rep. — 1985. — Vol. 2, № 3.
