ДУБИЛЬНІ РЕЧОВИНИ (таніни, таніди) (лат. substrantia tannica; tan < лат. форма кельтської назви дуба, з кори якого отримали дубильні екстракти) — складна група низько- та високомолекулярних природних поліфенолів, генетично зв’язаних між собою, в’язких на смак, з мол. м. вище 1000 — здатних дубити шкіру.
Назву «дубильні речовини» у 1796 р. французький дослідник Сеген дав речовинам рослинних екстрактів, які здатні дубити шкіру. Дубильні властивості мають багатоядерні поліфеноли з мол. м. порядку 1000–5000. Маса простих фенолів — псевдотанінів — невелика, але вони мають в’язкий смак і виявляють лікувальний ефект при цілій низці захворювань. Сполуки з мол. м. понад 20 000 також неефективні при вичиненні шкір, бо вони не можуть проходити між волокнами колагену в шкірі тварин. Д.р. становлять складну суміш різних за будовою фенольних сполук. За загальноприйнятою класифікацією, яку запропонував німецький учений K. Freudenberg, їх поділяють на дві великі підгрупи: гідролізовані Д.р. та конденсовані Д.р.
Гідролізовані Д.р. розщеплюються під дією кислот, лугів або ферменту танази на фенольні (похідні галової, гексагідроксидифенової кислот тощо) і нефенольні (D-глюкоза, гамамелоза, сорбіт, хінна кислота тощо) фрагменти.

Галова кислота

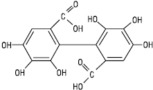
Гексагідроксидифенова кислота

Елагова кислота
Залежно від структури фенолів, які утворюються при гідролізі, гідролізовані Д.р. поділяють на три класи: галотаніни — складні ефіри галової кислоти з нефенольним компонентом; елаготаніни — складні ефіри похідних гексагідроксидифенової кислоти з нефенольним компонентом; змішані — зазвичай гідролізовані Д.р. містять як галову, так і похідні гексагідроксидифенової кислоти.
Галотаніни. У рослинних об’єктах виявляють моно- (Radix Rhei), ди- (Radix Hamamelis), три-, тетра-, пента- та полігалоїльні ефіри з фрагментами нефенольної структури:

β-D-глюкогалін

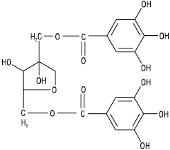
Гамамелітанін
Діефіри галової кислоти з D-глюкозою виділені також із кори Quercus robur, із плодів Castanea sativa, Acer gunkala, Terminala chebula, з листя Arctostaphylоs uva-ursi виділено тригалоїльний ефір D-глюкози, а із галів Rhus semialata, Rh. typhina, Rh. coriaria — тетра- і пентагалоїльні ефіри D-глюкози.

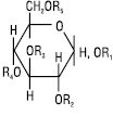
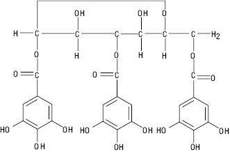
Найбільш вивченим полігалоїльним ефіром глюкози є китайський танін, що виділено із галів Rhus semialata, який є сумішшю пента-, гекса-, гепта-, окта- та нонагалоїлглюкоз. Співвідношення глюкози до галової кислоти в ньому становить 1:9 або 1:10.



Танін
При гідролізі елаготанінів утворюється елагова кислота або біогенетично зв’язані з нею кислоти — хебулова, бревіфолінкарбонова, дегідродигалова, дилактон валонової кислоти тощо.

Хебулова кислота

Бревіфолінкарбонова кислота

Дилактон валонової кислоти
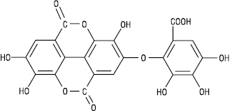
Форму С-глікозидів мають елаготаніни, виділені з деревини Qercus sessiflora і Castanea sativa, причому D-глюкоза в їх складі має лінійну форму:

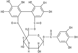
Вескалагін
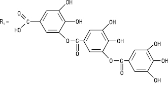
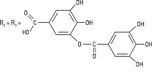
Зазвичай екстракти, які містять гідролізовані Д.р., дуже складні: в їх гідролізаті виявляють галову і гексагідроксидифенову кислоти та їх похідні, напр. виділений з бобів Caesalpinia coriaria корилагін:


Корилагін
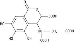
Конденсовані Д.р. становлять олігомери або полімери, мономерні фрагменти яких зв’язані один з одним С-С-зв’язками. Біогенетичними попередниками конденсованих Д.р. є флаван-3-оли (катехіни) та флаван-3,4-діоли (лейкоантоціанідини):

Катехін

Лейкоантоціанідини
Конденсовані Д.р. з рослинної сировини рідко відмічають в мономерній формі, оскільки вони легко окиснюються й конденсуються один з одним С-С-зв’язками під дією різних факторів (О2 і температури повітря, ферментів рослин тощо), внаслідок чого утворюються протоантоціанідини. В одній ЛРС можуть бути наявні оліго- та полімерні протоантоціанідини. Прикладом тримірного протоантоціанідину є лейкофізетинідин.
Більшість протоантоціанідинів мають складну будову, а деякі й велику мол. м. Із коренів тарану (Polygonum coriarium) виділено полімерні протоантоціанідини, в гідролізаті яких виявлено (–)-епігалокатехінгалат, (–)-епігалокатехін, (±)-галокатехін, (–)-епікатехін, дельфінідин, ціанідин.
Сьогодні достатньо експериментальних даних для того, щоб була виділена окрема, третя підгрупа Д.р., сполуки якої складаються з фрагментів гідролізованих та конденсованих Д.р. Напр., у гідролізатах протоантоціанідину, виділеного з «ріжкового дерева» (Ceratonia siliqua), містяться галова кислота, (–)-епікатехінгалат, (–)-епігалакатехінгалат, дельфінідин, пеларгонідин, ціанідин. У листі дуба черешчатого (Qercus robur) виявлені похідні елагової кислоти, а також олігомерні та полімерні протоантоціанідини, а в листі чаю китайського (Thea sinensis) поряд з мономерними катехінами наявні протоантоціанідини та гідролізовані Д.р.

Лейкофізетинідин
Д.р. надзвичайно поширені у природі. Виявляються вони переважно в покритонасінних та вищих рослинах. У квіткових рослинах Д.р. частіше накопичуються у дводольних. Найбільшу кількість видів з високим вмістом Д.р. визначено в родинах Fabaceae, Polygonaceae, Anacardiaceae, Myrtaceae, Rosaceae, Hamamelidaceae, Salicaceae, Geraniaceae, Plumbaginaceae, Asteraceae, Tanaricaceae. Надзвичайно багаті на танін (45% з сухої маси) стручки цезальпінії коротколистої та цезальпінії дубильної Caesalpinia brevifolia i C. coriarica, кори мангрового дерева Rhizophora sp., кори деяких видів евкаліпта Eucaliptus sp. Близько 64% гідролізованих танінів накопичується в патологічних утвореннях — галах — на листі сумаху напівкрилатого — Rhus semialata та дуба лузитанського — Quercus lusitanica.
В усьому світі відомі такі види сировини та продукти її переробки.
Катеху — сухий екстракт з деревини індійської акації Acacia catechu (Fabaceae) та інших видів. Катеху — нерівномірні шматки темно-брунатного кольору, дуже терпкі та гіркі на смак, які повністю розчиняються у воді та спирті. Містять Д.р. конденсованої групи. Застосовують катеху внутрішньо як в’яжучий засіб.
Плоди міробалану — Terminalia chedula (Combretaceae) — кістянки овальної форми, бурі та тверді. Містять близько 40% танідів. Використовують при шлунково-кишкових розладах і дизентерії.
Гамбір — сухий екстракт з листя та молодих пагонів Uncaria gambir (Rubiaceae), отримують шляхом екстракції сировини водою. Сировина — шматки темно-бурого кольору, дуже терпкі на смак. Містить Д.р. конденсованої групи, використовують внутрішньо як в’яжуче.
Кіно — під такою назвою надходить до аптек сухий сік різних тропічних рослин, які містять Д.р. та барвники. У країнах Південної Азії кіно одержують з Pterocarpus marsupium (Fabaceae), в Австралії — з Eucalyptus rostrata (Myrtaceae), у Центральній Америці — з Butea frondesa (Fabaceae). При надрізанні з кори витікає темно-червоний сік, який збирають і висушують на сонці. Одержують дрібні, блискучі, крихкі шматочки чорного кольору, в’язкі на смак. Сік розчиняється у киплячій воді та спирті. Містить Д.р. конденсованої групи. Має в’яжучу дію.
Корінь ратанії — з Krameria briandra (Fabaceae) — товстий дерев’янистий корінь з кількома великими відгалуженнями. Має червоно-буру горбисту кору, яка легко відшаровується. Смак в’язкий, гіркий. Сировина містить близько 20% конденсованих Д.р. і велику кількість ратанієвої красені (флобафени), нерозчинної у воді. Застосовують зовнішньо. Вміст Д.р. залежить від віку рослини, пори року, особливо в помірному кліматичному поясі. Відомо, що вміст Д.р., напр. в ялиновій корі Picea excelsa, різний, навіть при однакових ґрунтово-кліматичних умовах. Причина, певне, у відмінності генетичних факторів.
Мол. м. Д.р. близько 1000–5000 (20 000); частіше — аморфні сполуки, розчинні у воді, нижчих спиртах, ацетоні; малорозчинні в діетиловому ефірі, етилацетаті, бутанолі; нерозчинні — у хлороформі, бензолі, толуолі тощо.
Д.р. як феноли розчинні в лугах, з солями важких металів утворюють забарвлені комплекси.
Специфічною реакцією на Д.р. є взаємодія з желатиною і солями алкалоїдів. Якщо до водного розчину Д.р. додавати по краплинах 1% розчин желатину, то з’являється каламуть, яка зникає при додаванні надлишку реактиву. При взаємодії водного розчину Д.р. з розчином солі алкалоїду з’являється аморфний, в більшості випадків забарвлений осад. При додаванні до екстракту Д.р. декількох крапель розчину залізоамонієвих галунів розчин може забарвитися в темно-синій (гідролізовані Д.р.) або в темно-зелений (конденсовані Д.р.) колір. Ця реакція частіше за інші використовується при попередьому вивченні Д.р., хоча слід зазначити, що всі сполуки з вільною фенольною групою дають подібне забарвлення з солями Fe3+. Існує декілька реакцій відмінностей гідролізованих Д.р. від конденсованих. Якщо екстракт з Д.р. підкислити оцтовою кислотою, а потім додати середню сіль свинцю ацетату, то в осад випадуть гідролізовані Д.р. Осад відфільтровують, а до фільтрату додають 1% розчин залізоамонієвих галунів та кристалічний натрію ацетат. Забарвлення фільтрату в темно-зелений колір свідчить про наявність в екстракті, що вивчається, конденсованих Д.р. Розчин ваніліну (1%) в концентрованій хлоридній або 70% сульфатній кислоті дає жовто-червоне, малинове, рожеве забарвлення з мономерними (катехіни, лейкоантоціанідини) й олігомерними конденсованими Д.р. Конденсовані Д.р. випадають в осад при кип’ятінні екстракту з формаліном у середовищі хлоридної кислоти, гідролізовані Д.р. у цих умовах реакції залишаються в розчині.
Для визначення низькомолекулярних Д.р. часто застосовують паперову хроматографію та хроматографію в тонкому шарі сорбенту. При виділенні Д.р. із ЛРС користуються фракційною екстракцією. Спочатку сировину екстрагують петролейним ефіром, гексаном, хлороформом або бензолом для видалення хлорофілів, ліпідів, терпеноїдів та інших ліпофільних сполук. Подальша екстракція тієї самої наважки ЛРС діетиловим ефіром вилучає катехіни та інші фенольні сполуки, а екстрагування етилацетатом забере лейкоантоціанідини, низькомолекулярні олігомерні протоантоціанідини, оксикоричні кислоти тощо. Метиловим або етиловим спиртом екстрагуються Д.р. та інші рослинні сполуки, які не розчинилися в попередніх розчинниках. Досі використовується методика осадження Д.р. та інших фенольних сполук із розчинів солями свинцю. Для виділення індивідуальних низькомолекулярних Д.р. використовують різні види хроматографії: адсорбційну хроматографію на силікагелі, целюлозі, поліаміді, гольовому порошку; іонообмінну — на колонках катіоніту в Н+-формі; гельфільтрацію на колонках Сефадексу Г-50, Г-100 тощо.
Для встановлення структури Д.р. використовують ТШХ, інструментальні (УФ-, ІЧ-, ПМР-, мас-спектроскопію), фізичні та хімічні методи. Хроматографічні методи з використанням хромогенних реактивів дозволяють ідентифікувати продукти гідролізу Д.р. (галову, елагову кислоти та їх похідні), катехіни, лейкоантоціанідини, антоціанідини тощо. Для визначення катехінів та лейкоантоціанідинів та їх похідних з успіхом застосовують обробку проявлених хроматограм 1% розчином ваніліну в концентрованій хлоридній кислоті, при цьому названі сполуки забарвлюються в червоний колір.
Вивчення вмісту Д.р. у ЛРС можна провести різними способами, яких сьогодні налічується близько 100. Найчастіше використовують такі: гравіметричні (Д.р. кількісно висаджують з розчину желатиною, іонами важких металів, найчастіше Pb2+ або адсорбують гольовим порошком); титрометричні, в основі яких лежать окисно-відновні реакції (як окисники можуть використовуватися калію перманганат (метод ДФ ХI) та ін.); фотоколориметричні (отримують забарвлені розчини з солями Fe3+, реактивом Фоліна — Деніса, розчином ваніліну тощо). ДФ ХI використовує титрометричний метод Левенталя в модифікації А.Л. Курсанова, що базується на здатності Д.р. окиснюватися калію перманганатом. Для визначення таніну в листі скумпії та сумаху ДСТУ 4564-79 використовує комплексонометричний метод, в якому Д.р. висаджують цинку сульфатом.
У шкіряній промисловості застосовують гравіметричний метод з використанням стандартизованого гольового порошку (ваговий єдиний метод).
Для кількісного визначення катехінів у листі чаю М.М. Запромьотовим розроблено фотоколориметричний метод із використанням 1% розчину ваніліну в концентрованій хлоридній кислоті.
Експериментальні і клінічні дані, які зібрані на час досліджень, свідчать про реальне існування трьох напрямків біологічної дії рослинних поліфенолів на організм ссавців. По-перше, безпосередня дія на клітинні та судинно-тканинні мембрани, гладком’язові клітини, на ферментні білки та нуклеїнові кислоти. По-друге, дія на обмін БАР: адреналіну, аскорбінової кислоти, ацетилхоліну. По-третє, вплив на провідні системи нейрогуморальної та нейроендокринної регуляції.
Постійно надходячи до організму людини з рослинною їжею, поліфеноли тривалий час впливають на всі відділи травного тракту, а після всмоктування в кров — на серцево-судинну систему, нирки, інші органи та системи. Основними джерелами поліфенолів у нашій їжі є плоди (яблука, сливи, абрикоси, персики, груші); ягоди (смородина, агрус, виноград, полуниця, вишня, черешня, чорниця); овочі (капуста, буряк, картопля, морква, редиска, салат). Поліфеноли у великій кількості містяться в чаї, каві, какао, а також у настоях та відварах з ЛРС.
Ще в 1936 р. А. Сент-Дьєрдьї та його співробітники виявили, що в багатьох рослинах вітамін С супроводжується вітаміном Р (вітаміном проникності, від лат. permeare — проникати), який є синергістом аскорбінової кислоти та регулює проникність найдрібніших кровоносних судин (капілярів). Найбільш активні за впливом на проникність судин катехіни та флавандіоли-3,4, хоча Р-вітамінну активність мають усі поліфеноли. Антигеморагічний ефект рослинних речовин, можливо, не тільки зумовлений їх капілярозміцнювальною дією, а й пов’язаний з посиленням згортання крові. Дубильні речовини, які надходять до організму, чинять місцеву дію на слизову оболонку травного тракту, на моторику, секреторну та засвоювальну функції. Вони мають в’язкий смак та сприяють утворенню тонкого шару ущільненого білка. Це знижує подразнення слизової оболонки та усуває поверхневі ерозії, виразки. Рослинні поліфеноли суттєво знижують токсичну дію широкого кола хімічних агентів. Першочергова роль у цьому відводиться механізму ущільнення судинно-тканинних мембран, що перешкоджає надходженню токсичних речовин до життєво важливих органів, допомагає збереженню ендогенної аскорбінової кислоти і рівня глікогену. Протизапальна дія поліфенолів також сприяє загоєнню. Під їх впливом особливо ефективно послаблюється і навіть усувається ексудативний компонент запальної реакції, що легко пояснити, враховуючи дію фенолів, які ущільнюють мембрани. Поліфенольні сполуки мобілізують у живому організмі власні механізми гомеостазу; стимулюють функцію кори надниркової залози, глюкокортикоїдні гормони якої виявляють протизапальну активність. Протизапальна дія поліфенолів пов’язана з їх протимікробною, протигрибковою та протистоцидною активністю. Поліфеноли у тканинах рослин і тварин виконують захисну стабілізувальну функцію, найважливішим елементом якої є антиоксидантний ефект. У ході окисних реакцій в організмі утворюються вільні радикали, які при взаємодії з тканинними ліпідами дають токсичні ліпідні перекиси, які уповільнюють розмноження клітин. Рівень тканинних антиоксидантів відіграє суттєву роль у процесі росту злоякісних клітин. Фенольні сполуки, які здатні до утворення форм, що зворотно окиснюються (фенол → семихінон → хінон), інгібують активність тіолових ферментів. Однак це не єдиний молекулярний механізм біологічної дії поліфенолів. Іони металів зі змінною валентністю (Fe, Co, Cu, Mn та ін.) входять до складу багатьох окисно-відновних ферментів. Доведено вплив поліфенолів на активність окисно-відновних ферментів, особливо у формі семихінон → хінон. Вивчена і достовірно встановлена пригнічувальна дія поліфенолів на десятки ензимів.
Дубильні речовини широко використовують в медичній практиці. Вони виявляють в’яжучу, протизапальну й антимікробну дію. Препарати, що містять дубильні речовини, застосовують внутрішньо при гострих і хронічних колітах, ентеритах, гастритах, іноді як кровоспинний засіб. Широко використовують дубильні речовини при запальних процесах ротової порожнини, гортані, носа у вигляді полоскань, а також при опіках, пролежнях, виразках у вигляді зрошувань і змащувань. Катехіни призначають як Р-вітамінні препарати.
Літ.: Блажей А., Шутый Л. Фенольные соединения растительного происхождения. — М., 1977; Запрометов М.Н. Биохимия катехинов. — М., 1964; Исламбеков Ш.Ю., Каримджанов А.К., Мавлянов С.М., Исмаилов А.И. Растительные дубильные вещества // Химия природ. соединений. — 1990. — № 3; Растительные дубильные вещества / С.М. Мавлянов, А.И. Исмаилов, Ш.Ю. Исламбеков и др. // Химия природ. соединений. — 2001. — № 1.
