АЦЕТООЦТОВИЙ ЕФІР (етиловий естер ацетооцтової кислоти, етилацетоацетат), мол. м. 118,14 — безбарвна рідина з приємним фруктовим запахом; Tпл 45 °С, Tкип 180,8 °С / 760 мм рт. ст. (із частковим розкладанням), 100 °С / 80 мм рт. ст., 71°С / 12,5 мм рт. ст.; d420 1,0284; nD20 1,4198; розчинна у воді (14,3% при T=16 °С), етанолі, ефірі. Водні, спиртоводні та спиртові розчини А.е. при дії водного розчину FeCl3 набувають інтенсивного червоно-фіoлетового забарвлення.
А.е. — рівноважна суміш двох таутомерних форм етилового естеру b-оксикротонової кислоти — енольна форма (І) і етилового естеру ацетооцтової кислоти — кетонна форма (ІІ):

За звичайних умов А.е. містить 92,5% кетонної та 7,5% енольної форми. Співвідношення форм залежить від природи розчинника, матеріалу стінок посуду і температури.
Чиста кетонна форма виділена кристалізацією при сильному охолодженні розчину А.е. в петролейному ефірі (Tпл 39 °С; d420 1,0368; nD20 1,4425); чиста енольна — фракційною перегонкою в кварцовому посуді у вакуумі (Tпл 44 °С; d420 1,0119; nD20 1,4480).
У хімічних перетвореннях А.е. (залежно від природи реагенту) поводить себе як кетон або енол.
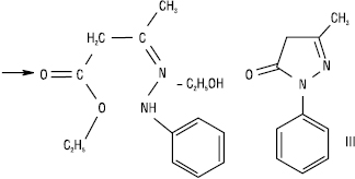
Кетонні реакції А.е.: відновлення воднем in situ до етил-b-гідроксибутирату; утворення відповідних ціангідрину і гідросульфітного похідного при взаємодії з HCN i NaHSO3; утворення оксиму; з фенілгідразином з утворенням і циклізацією фенілгідразону — 3-метил-1-фенілпіразолону-5 (ІІІ):


Розщеплення при нагріванні в присутності розбавлених розчинів кислот або лугів з утворенням ацетону (кетонне розщеплення). Під дією концентрованих розчинів лугів А.е. розщеплюється з утворенням оцтової кислоти (кислотне розщеплення).
Енольні реакції А.е.: з FeCl3 дає комплекс червоно-фіолетового кольору; знебарвлює бромну воду (реакція кількісного визначення енолу); з PCl5 утворює β-хлорокротоновий естер (ІV); вступає в реакцію ацилювання; реакція з металічним Na, з концентрованими водними розчинами NaOH, алкоголятами Na в спиртовому розчині з утворенням натрійацетооцтового ефіру (V):

Натрійацетооцтовий ефір (V) широко застосовується в реакціях з алкілгалогенідами для утворення гомологів А.е.: алкіл- та діалкілацетооцтових ефірів, які потім піддають кетонному та кислотному розщепленню для отримання кетонів і карбонових кислот.
А.е. добувають складноефірною конденсацією етилацетату (конденсація Кляйзена):

А.е. та його похідні широко застосовуються в органічному синтезі. 3-Метил-1-фенілпіразолон-5 (ІІІ) — вихідна речовина для отримання багатьох ЛП, його ядро входить у структуру амідопірину, антипірину, анальгіну (протизапальна, жарознижувальна й анальгетична дія) та акрихіну (протипаразитарна дія). А.е. застосовується у виробництві γ-ацетопропілового спирту і ацетобутиролактону для виготовлення вітаміну В1, піразолонових барвників та похідних піридину, як ароматична речовина для продуктів харчування.
А.е. подразнює шкіру.
Ингольд К. Теоретические основы органической химии. — М., 1973; Общая органическая химия. В 12 т. / Под общ. ред. Д. Бартона и У.Д. Оллиса. — Т. 4. Карбоновые кислоты и их производные. Соединения фосфора / Под ред. И.О. Сазерленда. — М., 1983; Черных В.П., Зименковский Б.С., Гриценко И.С. Органическая химия / Под общ. ред. В.П. Черных. — 2-е изд. — Х., 2007; Робертс Д.Д., Кассерио М.К. Основы органической химии. — М., 1978. — Т. 1.
