КЕТОНИ — органічні речовини, які містять карбонільну (кето-) групу
, зв’язану з двома вуглеводневими радикалами. Загальна формула К.:

К. — це рідкі чи тверді речовини з характерним запахом, розчинні в органічних розчинниках. Нижчі аліфатичні К. змішуються з водою. За природою вуглеводневих радикалів К. поділяють на аліфатичні (насичені та ненасичені), аліциклічні, ароматичні, гетероциклічні та змішані. За замісниковою номенклатурою назви К. утворюють від назв відповідних вуглеводнів з тією ж кількістю атомів карбону в головному ланцюзі (враховуючи кетогрупу), додаючи суфікс -он- та позначаючи цифрою положення кетогрупи. Часто для назв К. користуються радикало-функціональною та тривіальною номенклатурами. Відповідно до радикало-функціональної номенклатури радикали, з якими пов’язана кетогрупа, називають в алфавітному порядку, додаючи слово «кетон»:

пентанон-2; метил-н-пропілкетон. Якщо у структурі сполуки наявна старша функціональна група (
та ін.), кетогрупа позначається префіксом «оксо»:
— 3-оксомасляна кислота;
β-кетомасляна кислота. Сполуки з двома кетогрупами належать до дикетонів, серед яких особливе місце займають хінони.
Хімічні властивості К. визначаються присутністю полярної електроноакцепторної групи
. Вони вступають у реакції приєднання, заміщення, конденсації. К. менш реакційноздатні, ніж альдегіди, приєднують нуклеофіли за карбонільною групою не так легко, як альдегіди. Реакцію з NaHSO3 з утворенням гідросульфітних похідних використовують для якісного визначення, виділення та очищення К., які містять групу
:

Продукти взаємодії К. з HCN у присутності основ — гідроксинітрили (ціангідрини):

Реакції з амінами, гідразином, семікарбазином тощо мають велике значення для ідентифікації та виділення К. в чистому стані, оскільки відповідні продукти реакцій оксими, гідразони, семікарбазони та ін. — це кристалічні речовини з чіткими Tпл., при гідролізі яких регенеруються вільні К. До реакцій з нуклеофільними реагентами, що відбуваються у карбонільній групі, відносять також взаємодію К. з PCl5, яка використовується для одержання гемінальних дигалогеналканів:

Практичне значення для органічного синтезу має здатність К. вступати в реакції конденсації. Враховуючи низьку реакційну здатність, на відміну від альдегідів, для К. альдольна та кротонова конденсація проходить у жорстких умовах:

Утворені β-кетоспирти відщеплюють молекулу води, перетворюючись на ненасичені К. При нагріванні К. з концентрованою H2SO4 відбувається міжмолекулярна дегідратація з утворенням ненасичених К:
.
Наявність рухливих атомів гідрогену при α-атомах карбону (С–Н кислотні властивості) дає можливість вступати в реакцію конденсації з альдегідами аліфатичного ряду:
RCOCH3 + CH2O
RCOCH = CH2 + H2O.
За участю α-атома карбону К. галогенуються:
.
Відновлення К. гідридами металів (LiAlH4 чи NaBH4) використовують для одержання вторинних спиртів. На відміну від альдегідів, К. окиснюються лише KMnO4; K2Cr2O7, що призводить до розриву зв’язків між атомами карбону вуглеводневого радикала та карбонільної групи з утворенням суміші кислот:

У промисловості К. одержують дегідруванням або окисненням вторинних спиртів. Дегідрування проводять при нагріванні спиртів у присутності міді або срібла; окиснення проводять киснем, використовуючи як каталізатор мідь або срібло, часто як окисник беруть K2Cr2O7 або KMnO4 та MnO2. Важливим промисловим способом є піроліз кальцієвих та барієвих солей карбонових кислот:

Ароматичні К. найчастіше отримують ацилюванням ароматичних вуглеводнів галогенангідридами або ангідридами карбонових кислот у присутності кислот Льюїса:

К. використовують як розчинники, екстрагенти, вихідні та проміжні сполуки в органічному синтезі, для одержання ЛП. Ацетон — відомий розчинник нітросполук, лаків тощо, служить для синтезу йодоформу, хлороформу. Ацетофенон із запахом черемхи використовується для створення парфумерних композицій, косметичних віддушок, у високих концентраціях відомий як снодійна речовина. Бензофенон — фіксатор запахів, інгібітор полімеризації, який застосовується в синтезі гетероциклів: антибіотиків груп левоміцетину та синтоміцину. Метилізобутилкетон у високій концентрації чинить місцевоанестезувальну дію, речовина відома як екстрагент масел. Для виробництва адипінової кислоти, ε-капролактаму служить циклогексанон.

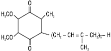
Похідні хінонів убіхінони — коферменти дихання та фосфорилювання, що використовують як ЛП: імуномодулятори та препарати для лікування серцево-судинних захворювань. Вітаміни групи К (клас хінонів) мають антигеморагічну дію (філохінон). Діацетил застосовують як харчовий ароматизатор, барвник, а також в аналітичній практиці (диметилгліоксим) як реагент на катіони, відомий під назвою Реактив Чугаєва.
Общая органическая химия: В 12 т. / Под общ. ред. Д. Бартона и У.Д. Оллиса. — Т. 2. Кислородсодержащие соединения / Под ред. Дж.Ф. Стюарта. — М., 1982; Черных В.П., Зименковский Б.С., Гриценко И.С. Органическая химия / Под общ. ред. В.П. Черных. — 2-е изд. — Х., 2007.
