КРОХМАЛЬ (лат. Amylum) — суміш природних полісахаридів загальної формули (С6Н10О5)n у вигляді зерен різної форми, розмірів та властивостей (сипкість, здатність до набрякання), які залежать від виду рослин, з яких вони отримані (бульб картоплі, зерен пшениці, кукурудзи, рису). К. складається з полісахаридів амілози та амілопектину, які побудовані із залишків Д-глюкопіранози, поєднаних α-1,4,-глюкозидними зв’язками, а в місцях розгалуження глюкозидні залишки поєднані з головним ланцюгом α-1,6-зв’язками. Макромолекули амілози (водорозчинний полісахарид) мають лінійну будову або слаборозгалужені ланцюги (рис. 1а), що складаються з 200–1000 залишків Д-глюкози, а макромолекули амілопектину дуже розгалужені (рис. 1б) і мають 600–6000 залишків Д-глюкози.

Рис. 1. Схема будови макромолекул амілози (а) та амілопектину (б)
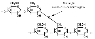
Ділянки ланцюгів амілози та амілопектину наведені на рис. 2 і 3.

Рис. 2. Ділянка ланцюга макромолекули амілази

Рис. 3. Ділянка ланцюга макромолекули амілопектину з точкою розгалуження
Полісахариди амілози та амілопектину можна розділити, використовуючи їх властивості. Так, амілоза краще розчиняється в гарячій воді, розбавлених лугах, здатна утворювати комплекси з н-бутанолом, циклогексанолом, ізоаміловим спиртом та осаджуватись із дисперсій К. дихлоретаном, тетрахлоркарбоном та іншими розчинниками. Амілоза й амілопектин полідисперсні за молекулярною масою. Співвідношення їх у різних рослин різне. У середньому К. містить 25% амілози та 75% амілопектину. Але завдяки селекції на сьогодні отримують промислові сорти кукурудзи із вмістом 55–75% амілози, а К. воскоподібної кукурудзи містить більше 95% амілопектину.
К. і отримані з нього амілаза й амілопектин — білі речовини, нерозчинні в холодній воді, спирті, етері. Після руйнування зовнішньої оболонки зерен К. (методом диспергування) вони набрякають у холодній воді з утворенням гідрогелю. У теплій воді зерна К. руйнуються з утворенням клейстеру, що проходить у три стадії. Спочатку зерна К. набрякають (стадія оборотна), при подальшому підвищенні температури об’єм зерен збільшується в декілька сотень разів з одночасним підвищенням в’язкості розчину (стадія необоротна); нарешті, розчинні полісахариди К витягаються водою, зерна втрачають форму, перетворюються на мішечки, суспендовані в розчині. Із крохмального клейстеру (розчину) при тривалому зберіганні амілоза випадає в осад (ретроградація). Розчини К. оптично активні [α]д від 180 до 210˚. К. забарвлюється йодом у синій колір, амілоза — в інтенсивно синій, а амілопектин — у червоно-фіолетовий. При нагріванні до 70 ˚С і вище колір зникає, а при охолодженні знову з’являється.
К. широко використовується в різних галузях промисловості: харчовій, бродильній (для отримання спиртів, гліцерину, деяких кислот та інших продуктів), текстильній, паперовій, у виробництві декстринів, клеїв, у мікробіології й фармації (для виробництва антибіотиків, вітамінів та інших продуктів). При виготовленні ліків, особливо гранул, таблеток найчастіше використовують картопляний К. як розпушувальний компонент. У складі таблеток К. утворює систему капілярів, через які легко проникає вода. Він добре набрякає, поглинаючи до 29% води, в той час як кукурудзяний та рисовий К. набрякають до 5–6%. Найкращу розпушувальну дію має картопляний К., висушений при температурі 45 ˚С та доданий до готових гранул. Крім розпушувальних властивостей, у виробництві таблеток К. використовується як склеювальний компонент (5–20% розчин), а висушений — як ковзний компонент або як допоміжна речовина в процесі дражирування. К. має гідрофілізуючі властивості й утримує вологу в гранулах. Завдяки сипкості й здатності прилипати до шкіри, поглинати вологу і шкірний жир, використовується в присипках і пудрах. Крім того, К. може використовуватись як складовий компонент багатьох мазей і паст.
Існують модифіковані К. Згідно з визначенням Експертної комісії з харчових добавок ВООЗ — це «харчові К., в яких одна або більше первинних характеристик змінені шляхом відповідної обробки одним із фізичних, хімічних, біохімічних або комбінованих процесів». Нативні К. здатні до утворення клейстерів, які мають недоліки: чутливість до дії температур, схильність до синерезису, недостатньо стабільні при зберіганні. Тому їх піддають цільовим змінам. Модифікація К. дає можливість: знижувати або підвищувати температуру їх клейстеризації; знижувати або підвищувати в’язкість клейстеру; підвищувати розчинність у холодній воді; прояву емульгуючих властивостей; знижувати схильність до ретроградації; підвищувати стійкість до синерезису, впливу кислот, високих температур та циклів розморожування — заморожування. Деякі модифіковані К. отримують шляхом значних змін їх природних властивостей (набухаючі, термічно розщеплені, рідинно киплячі та ін.). Модифікований (видозмінений) К. одержують шляхом м’якого кислотного або ферментного гідролізу із звичайного крохмалю. При швидкому нагріванні відбувається розщеплення гігантської молекули на низькомолекулярні полісахариди, які називаються декстринами:
(С6Н10О5)n→(С6Н10О5)n→ С12Н22О11→ С6Н12О6
крохмаль, декстрин, мальтоза, глюкоза.
Декстрини у воді розчиняються краще, ніж крохмаль, а в концентрації до 50% утворюють в’язкі розчини консистенції мазевих основ. Особливістю розчинів декстринів є те, що вони мають постійну в’язкість. Широкого застосування набув декстрин (Мол. м. 60 000±10 000) у формі 6% розчину як кровозамінник. Декстрини різної молекулярної маси входять до складу мазевих основ. К., модифіковані кислотами, характеризуються значно меншою в’язкістю клейстеризованих розчинів у нагрітому стані, але після охолодження утворюють міцні драглі. Модифіковані К. мало відрізняються за складом від природного К., але позбавлені запаху, мають інший колір, властивість до розсипчастості тощо. Модифіковані К. не мають жодного стосунку до генної інженерії. К. розчинний отримують при тривалому контакті з водою або слабкою кислотою (відбувається розщеплення зв’язків у місцях розгалужень ланцюгів амілопектину і утворення розчинного продукту у воді); використовується як індикатор у хімічному аналізі, рідше — як клей (10% розчин). К. ненабрякаючий має етерифіковані гідроксильні групи внаслідок дії тетраметилацетиленодисечовини. Це білий, без запаху порошок, який не набрякає і не розчиняється у воді, застосовується з метою запобігання склеюванню гумових виробів, напр., рукавиць хірургічних; входить до складу багатьох лікувальних і косметичних пудр, а також як ковзна речовина при виробництві таблеток і гранул. К. кукурудзяний або амілопектиновий — очищений та гідролітично оброблений — використовується для виготовлення кровозамінного препарату Волекам, а також у паперовій промисловості. К. набрякаючий — використовується в харчовій промисловості, при бурінні свердловин та виробництві клею. Окиснені К. отримують обробкою перекисом водню, калію перманганатом та ін. Таким К. властива підвищена прозорість розчину, висока стабільність, знижена в’язкість. Використовується у виробництві тканин. К. ацетатний — використовується як загусник та структуроутворювач. К. катіонний — використовують при очищенні стічних вод та в паперовій промисловості. К. фосфатний — використовується в харчовій промисловості. Карбоксиметилкрохмаль — зі ступенем заміщення 0,1 і вище, в холодній воді утворює стійкі клейстери; використовується як загусник, стабілізатор, структуроутворювач нехарчових та харчових продуктів.
Жогло Ф., Возняк В., Попович В. та ін. Допоміжні речовини та їх застосування в технології лікарських форм. — Львів, 1996; Энциклопедия полимеров: В 3 т. Т. 1 / Ред. кол. В.А. Каргин. — М., 1972.
