СЕЛЕКТИВНІ (комплексоутворювальні) ІОНООБМІННІ СМОЛИ — синтетичні органічні іоніти, що містять атомні групи, здатні до утворення донорно-акцепторних (координаційних) зв’язків з іонами та молекулами, які вони поглинають із розчинів. С.і.с. поділяють на аніоно-, катіонообмінні та амфотерні. Найбільш перспективні С.і.с. містять хелатні групи — іоногенні групи цих смол утворюють із катіонами металів внутрішньокомплексні сполуки:




де Ме — метал, R — фрагмент макромолекулярного каркасу смоли.
Висока специфічність утворення донорно-акцепторних комплексів із металами зумовлює селективність комплексоутворювальних іонообмінних смол у ряді металів із близькими властивостями. Іонний обмін на С.і.с. супроводжується виникненням, крім іонного, ще й координаційного зв’язку між катіоном (комплексоутворювачем) та функціональною групою (лігандом — у ряді підвищення специфічності — це карбоксильні, іміноацетатні, гліоксиматні, фосфонатні, меркаптогрупи та ін.).
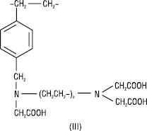
С.і.с. добувають поліконденсацією, полімеризацією, а також шляхом полімераналогічних перетворень. Так, промислові хелатні іоніти (дауекс А-1, челекс-100) з групи амінокарбонових іонітів (І) та амфотерні амінокарбонові С.і.с. (ІІ, ІІІ) одержують на основі зшитого полістиролу, фосфорвмісні амінокислотні С.і.с. — на основі амінополістиролу (IV). Комплексоутворювальні катіоніти типу α-оксифосфонових кислот одержують на основі полістирилалкілкетонів (V).





Багато різноманітних С.і.с. з фосфор- та арсенвмісними функціональними групами синтезовано на основі співполімерів стиролу та дивінілбензолу:


(А — елементарна ланка полімерного каркасу).
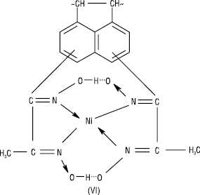
Поліконденсаційні С.і.с. одержують на основі похідних ароматичних амінів та фенолів (носіїв хелатних груп), формальдегіду. Використовують саліцилову, антранілову, резорцилову, антранілоцтову та інші кислоти. Відомі також С.і.с. з оксимними групами, напр. гліоксимний катіоніт на основі аценафтилену та стиролу (VI); фосфорвмісні смоли з кетогрупами на основі потрійного співполімера стиролу, малеїнового ангідриду та дивінілбензолу (VIІ):


Найбільш характерною і практично значущою властивістю С.і.с. є здатність вибірково поглинати іони, що визначають. Спорідненість іонів до С.і.с., як правило, відрізняється від селективності іонів до універсальних іонітів. Селективність зумовлена хімічною спорідненістю комплексоутворювальних груп до іона чи молекули, що визначають, а також фізичними (будово-просторовими) факторами, сукупність яких іноді неможливо врахувати. Висока селективність зумовлена не лише універсальним іонним зв’язком, а ще й додатковим координаційним, який виникає між іоном-акцептором та комплексоутворювальними групами смоли, що містять атоми — донори електронів. Великий вплив на комплексоутворення мають властивості розчинів, сольватаційні характеристики іонів, що сорбуються, та їх концентрація. Швидкість та повнота утворення комплексів залежать від рухомості макромолекулярних сегментів полімерного комплексу іоніту, а також від просторового розташування функціональних груп ланцюга. Термодинаміка сорбційних процесів на С.і.с. практично не вивчена, хоча відзначається вплив ентропійних факторів. Порівняння селективності С.і.с. проводять за умовними константами рівноваги, які залежать від конкретних умов сорбційного процесу (рН-середовища, концентрації комплексоутворювача) чи коефіцієнта розподілу k=ссм/ср, де ссм та ср – концентрація речовини у фазі смоли та розчину. Співвідношення коефіцієнтів розподілу зазначає селективність смоли у конкретних умовах сорбції.
С.і.с. використовують для видалення низьких концентрацій металів із сумішей, визначення токсичних сполук, рідкісних та дорогоцінних металів. Комплекси С.і.с. із металами набувають значення як каталізатори гідрування ненасичених сполук, кетонів та спиртів, реакцій ізомеризації, полімеризації тощо.
Салдадзе К.М., Копылова В.Д. Комплексообразующие иониты (комплекситы). — М., 1980; Херинг Р. Хелатообразующие ионообменники. — М., 1971; Энциклопедия полимеров. — М., 1977. — Т. 3.
