ІНТЕГРОВАНА ФАРМАЦЕВТИЧНА ЛОГІСТИЧНА СИСТЕМА — це система збалансованого управління рухом матеріальних та супутніх потоків (сервісними, фінансовими, інформаційними) протягом усього життєвого циклу фармацевтичної продукції від її розроблення до доставки кінцевому споживачу) з метою оптимізації цільової функції системи — своєчасного забезпечення конкретного споживача необхідною та якісною фармацевтичною продукцією з мінімальними витратами. Основними цілями розроблення та впровадження І.ф.л.с. є: досягнення якості фармацевтичної продукції (при конкурентоспроможному рівні витрат); своєчасне забезпечення нею конкретного споживача в необхідному обсязі, у визначений термін, у потрібному місці тощо. Головні методологічні принципи побудови І.ф.л.с. — системний та стратегічний підходи до управління логістичною системою; оптимізація наскрізних логістичних витрат; логістична координація та інтеграція управлінням усіма потоками процесів при реалізації цільової функції; інформаційний обмін та інформаційне підтримання протягом усього життєвого циклу фармацевтичної продукції; пріоритет якості, наскрізна стандартизація та синхронізація всіх логістичних бізнес-процесів; зниження ризиків і невизначеності внаслідок забезпечення максимальної доступності та прозорості інформації; розвиток довгострокових взаємовигідних партнерських відносин тощо.
Побудова І.ф.л.с. є складним процесом. Приступаючи до її створення, спочатку необхідно визначити ту сукупність цілей, які впливають на взаємодію елементів цієї системи і зачіпають такі визначальні аспекти на фармацевтичному ринку, як задоволення попиту фармацевтичної продукції, кількість структурних підрозділів (на мікрорівні) та ФП, що входять до І.ф.л.с. (на макрорівні) з урахуванням рівня рентабельності та якості логістичних процесів тощо. Алгоритм побудови й управління І.ф.л.с. на мікрорівні (рис. 1) базується на визначенні доцільної сукупності взаємодоповнюючих видів логістичної діяльності та їх взаємодіючих елементів, яку цілеспрямовано формують і реалізують відносини на всіх етапах відтворення та розвитку життєвого циклу логістичної системи за допомогою інтегральної системи показників, серед яких домінують вимоги кінцевого споживача стосовно якості й ціни фармацевтичної продукції та рівня логістичного обслуговування.
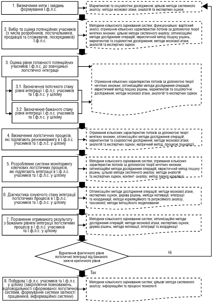
Алгоритм побудови І.ф.л.с. на макрорівні полягає в послідовному описі логістичних процесів, кардинальній зміні існуючих логістичних систем суб’єктів фармацевтичного ринку (рис. 2).

Рис. 1. Алгоритм побудови й управління І.ф.л.с. на мікрорівні

Рис. 2. Алгоритм побудови й управління І.ф.л.с. на макрорівні
Принциповою відмінністю цього алгоритму є орієнтація на вимоги міжнародних стандартів якості та належних практик щодо формування та функціонування подібних систем і досягнення ключових цілей усіма потенційними учасниками інтегрованого фармацевтичного логістичного ланцюга. Отже, алгоритм І.ф.л.с. — це взаємопов’язані, логічно впорядковані й узгоджені з кращими досягненнями практики логістичні процеси відносно зміни існуючої логістичної системи для досягнення її бажаного стану. При цьому реформування логістичних процесів має здійснюватися не лише всередині ФП, а й у взаємозв’язку із логістичними системами ФП-партнерів, що сприяє досягненню не тільки локальних цілей кожного учасника І.ф.л.с., але й реалізації загальних цілей учасників таких систем.
Крикавський Є.В., Чорнописька Н.В. Логістичні системи: Навч. посібник. — Львів, 2009; Посилкіна О.В., Хромих А.Г. Методичні підходи до побудови інтегрованих логістичних систем у фармації: Наук.-метод. рек. — Х., 2012; Хэндфилд Р., Николс Э. Реорганизация цепей поставок: создание интегрированных систем формирования ценности. — М., 2003; Щолокова Т.В. Методичні підходи до підвищення ефективності інтегрованих логістичних систем // Вісн. СНУ ім. В. Даля. — 2010. — № 5 (147), ч. 2.
