Пеніциліни — група антибактеріальних препаратів, що синтезуються мікроорганізмами, які отримують із рослинних та тваринних тканин, а також їх напівсинтетичні та синтетичні аналоги, що вибірково пригнічують життєздатність чутливих до них мікроорганізмів.
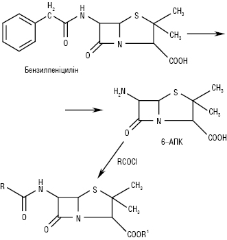
В основі структури пеніциліну лежить 6-амінопеніциланова кислота (6-АПК), яка у свою чергу містить тіазолідиновий (А) і β-лактамний (В) цикли:

Пеніциліни продукуються культурами Penicillium notatum та P. chrysogenum. До природних пеніцилінів належать бензилпеніцилін та феноксиметилпеніцилін. Відрізняються природні П. від напівсинтетичних ацильними залишками:

Пеніциліни класифікуються на природні короткої дії (бензилпеніцилін (П) натрієва та калієва солі, феноксиметилпеніцилін) та природні депо-препарати (бензатин бензилпеніцилін, біцилін-5); напівсинтетичні (антистафілококові (ізоксазолілпеніциліни, пеніциліназостабільні): оксацилін, клоксацилін, флуоксацилін; амінопеніциліни (П. широкого спектра дії): ампіциліну тригідрат, амоксициліну тригідрат, пенамецилін, бакампіцилін); антисиньогнійні (карбоксипеніциліни): карбеніцилін, тикарцилін; уреїдопеніциліни: азлоцилін, піперацилін мезлоцилін; комбіновані (інгібіторозахищені): ампіцилін + сульбактам (уназин), амоксицилін + клавуланова кислота (аугментин, амоксиклав), тикарцилін + клавуланова кислота (тиментин), ампіцилін + оксацилін (ампіокс), амоксицилін + метронідазол (хелікоцин), амоксицилін + клоксацилін (вампілокс).
Природні пеніциліни отримують шляхом мікробіологічного синтезу. Всі інші пеніцилінові антибіотики — напівсинтетично, шляхом гідролізу бензилпеніциліну, а потім ацилюючи отриману таким чином 6-АПК:

Пеніциліни — білі кристалічні речовини з гірким смаком. Натрієві та калієві солі П. легко- або дуже легкорозчинні у воді, важко — в органічних розчинниках, часто гігроскопічні. Вільні кислоти, новокаїнова сіль бензилпеніциліну — малорозчинні у воді і легко — в органічних розчинниках. У молекулі П. містяться три асиметричних атоми вуглецю. Всі препарати групи П. мають однакову просторову конфігурацію.
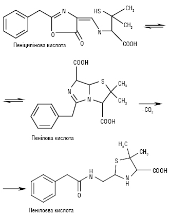
Основною хімічною властивістю пеніциліну є їх здатність до гідролізу, який супроводжується розкриттям лактамного кільця. Напрямок реакції й природа продуктів, які утворюються, більшою мірою залежить від рН. Так, внаслідок нуклеофільної атаки гідроксидів або води П. трансформується в неактивну пеніцилінову кислоту, котра досить стійка в нейтральних і основних розчинах, але декарбоксилюється в кислому середовищі.

Інші нуклеофільні агенти, напр. аміни і спирти, розривають лактамне кільце з утворенням відповідних амідів чи ефірів. У сильнокислому середовищі (рН <3) Пеніциліни піддаються ряду хімічних реакцій, які призводять до утворення неактивних продуктів розкладення. На першій стадії утворюється пеніцилінова кислота. Процес ініціюється протонуванням атома азоту лактамного кільця:

Іншим шляхом гідролізу є трансформація пеніцилінової кислоти в пенілову (імідазолін-2-карбонову) з наступним декарбоксилюванням та гідролітичним розкриттям кільця й утворенням пенілоєвої кислоти:

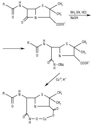
Ідентифікація пеніциліну проводиться методами ІЧ-спектроскопії в порівнянні із стандартним зразком; ТШХ, реакцією на лактамне кільце з розчином формальдегіду в сірчаній кислоті — при цьому з’являється червоно-коричневе забарвлення. Органічні й неорганічні катіони П. підтверджуються відповідно реакціями на калій, натрій і первинні ароматичні аміни (новокаїн). Наявність лактамного кільця (внутрішній амід) установлюється реакцією на амідну групу — утворення гідроксаматів міді (II) зеленого кольору або гідроксаматів заліза (III) червоного кольору:
Реакція пеніциліну з хромотроповою кислотою дозволяє розрізнити деякі із них за забарвленням продукту, який утворюється. Бензилпеніциліни в цій реакції дають коричневе забарвлення, ампіцилін — фіолетове.

Кількісне визначення П. проводиться з використанням рідинної хроматографії з УФ-детектуванням. Як рухома фаза використовуються системи: дигідрофосфат калію-метанол-вода для солей П. і ацетонітрил-буферний розчин для несольових форм. Можливе кількісне визначення П. методом дифузії в агар з використанням тест-культури Staphylococcus aureus (оксацилін, феноксиметилпеніцилін).
Активність П. визначають біологічним шляхом. За 1 ОД прийнята активність 0,5988 мг хімічно чистої кристалічної натрієвої солі бензилпеніциліну.
Стабільність П. Солі бензилпеніциліну, метициліну легко руйнуються під дією кислот, лугів та окисників, при нагріванні водних розчинів. Повільно руйнуються при зберіганні розчинів за кімнатної температури. Новокаїнова сіль стійка до дії світла. Гігроскопічність і чутливість до світла зумовлює необхідність зберігання П. в темному місці і в ретельно закупореній тарі. При контролі рН водних розчинів (6,0–6,8) та охолодженні їх зберігання може бути продовжене до декількох тижнів. Стабілізувальний ефект здійснюють добавки фосфатних або цитратних буферів. До кислотостійких належать такі П.: феноксиметилпеніцилін, ампіцилін, оксацилін стійкий в слабкокислому середовищі. Бензилпеніциліни інактивуються в кислому середовищі розчину тіаміну гідрохлориду, еуфіліну, амінокислот, а також за наявності солей цинку, міді і т.д.
Завдяки наявності лактамного кільця П. виступає як активний ацилюючий агент специфічної дії. П. мають бактерицидну дію.
За механізмом дії П. блокують синтез пептидоглікану (біополімеру, який є основним компонентом клітинної стінки бактерій). Всі П. мають бактерицидну дію внаслідок загибелі бактерій. Спектр дії природних П.: чутливі грампозитивні та грамнегативні коки (пеніциліназонегативні стафілококи, стрептококи, пневмококи, нейсерії менінгіту та гонореї), грампозитивні палички (лістерії, коринебактерії дифтерії), анаероби (пептострептококи, клостридії), грамнегативнібактерії Neisseria spp., P. multocida та Н. ducreyi, спірохети (борелії, бліда трепонема, лептоспіри), актиноміцети. До більшості з них швидко розвивається стійкість мікроорганізмів (частіше за все до стафілококів), що зумовлено продукцією β-лактамаз. Антистафілококові П. за антимікробним спектром близькі до природних П., однак за рівнем активності щодо до більшості мікроорганізмів їм поступаються. На відміну від природних вони стійкі до стафілококових β-лактамаз, високоактивні відносно більшості штамів стафілококів (включаючи PRSA-збудників позалікарняної інфекції). Амінопеніциліни мають широкий спектр дії. Крім вже зазначених мікроорганізмів, П. діють також на збудників Enterobacteriaceae (ешерихії, шигели, сальмонели). У той же час вони поступаються природним за дією на грампозитивні коки (за винятком ентерококів). Усі амінопеніциліни руйнуються β-лактамазами. Антисиньогнійні П. за широтою антибактеріальної дії перевищують інші П. Відмінною особливістю їхнього протимікробного спектра є активність відносно синьогнійної палички. Спектри антибактеріальної дії карбоксипеніцилінів й уреїдопеніцилінів подібні, але останні більш активні щодо клебсієл та серацій. За впливом на грампозитивні збудники, чутливі до природних П., антисиньогнійні П. поступаються. Ця група П. порушується β-лактамазами. До неї швидко розвивається стійкість мікроорганізмів.Карбоксипеніциліни діють на багатьох представників родини Enterobacteriaceae (за винятком Klebsiella spp., Р. vulgaris, С. diversus), а також на Р. aeruginosa та інші мікроорганізми, які не ферментуються. Уреїдопеніциліни високоактивні відносно практично всіх важливих грампозитивних бактерій: родина Enterobacteriaceae, P. aeruginosa, інших псевдомонад та мікроорганізмів, які не ферментуються (В. cepacia, S. maltophilia). Спектр дії комбінованих П. поширюється внаслідок комбінації їх з інгібіторами β-лактамаз — клавулановою кислотою та тазобактамом. Вони діють на такі грамнегативнімікроорганізми, як Klebsiella spp., P. vulgaris, С. diversus, а також анаероби групи В. fragilis, які синтезують хромосомні β-лактамази класу А, активні також відносно мікрофлори з набутою резистентністю, яка зумовлена продукцією β-лактамаз: стафілококи, гонококи, М. catarrhalis, Haemophilus spp., Е. coli, Р. mirabilis. Використовують природні П., показані для лікування стрептококових (тонзиліт, ангіна, бешиха, ендокардит, остеомієліт, абсцеси, флегмони, скарлатина, пневмонія, сепсис, отити, мастит), пневмококових (пневмонії та ін.), менінгококових та гонококових інфекцій, а також для лікування дифтерії, газової гангрени, правця, сибірки, лептоспірозу, сифілісу (крім нейросифілісу), актиномікозу; профілактики ревматизму. При лікуванні ендокардитів необхідна комбінація цих антибіотиків із аміноглікозидами. Оскільки природні депо П. не відтворюють високих концентрацій у плазмі крові, повільно всмоктуються та погано проникають крізь гематоенцефалічний бар’єр, їх використання для лікування тяжких інфекцій недоцільне. Депо-препарати показані для лікування та профілактики стрептококових інфекцій, ревматизму та сифілісу; при інфекціях середньої тяжкості перорально (феноксиметилпеніцилін). Антистафілококові П. використовуються при лікуванні стафілококових інфекцій різної локалізації (шкіри та м’яких тканин, кісток та суглобів, пневмонії, сепсису, ендокардиту та ін.), які викликані стафілококами, що синтезують пеніциліназу. Амінопеніциліни показані для лікування легких позалікарняних інфекцій верхніх та нижніх дихальних шляхів (отит, синусит, пневмонія, хронічний бронхіт, позалікарняна пневмонія), сечовидільних шляхів (гострого циститу, пієлонефриту), ШКТ (сальмонельозу, шигельозу — ампіцилін; виразкової хвороби шлунка — амоксицилін); менінгіту, викликаного Н. influenzae чи L. monocytogenes (ампіцилін); ендокардиту (ампіцилін у поєднанні з гентаміцином або стрептоміцином). Додатковими показаннями є інфекції шкіри та м’яких тканин, інтраабдомінальні інфекції, гостра гонорея. Амінопеніциліни неефективні при лікуванні тяжких хронічних та лікарняних інфекцій дихальних або сечовидільних шляхів, оскільки лікарняні штами мікроорганізмів мають резистентність до амінопеніцилінів. Антисиньогнійні П. найчастіше призначають при лікуванні інфекцій, викликаних синьогнійною паличкою та змішаною аеробно-анаеробною мікрофлорою (інфекції сечових шляхів, черевної порожнини та малого тазу, жовчовивідних шляхів, кісток та суглобів, сепсис). При цьому їх раціонально приймати у комбінації з іншими антибіотиками (частіше за все з аміноглікозидами, цефалоспоринами, фторхінолонами) внаслідок високої чутливісті цих П. до гідролізу β-лактамазами. Комбіновані П. приймають при тяжких формах захворювань, які рецидивують, а також при інтраабдомінальній інфекції, інфекції органів малого тазу, шкіри, м’яких тканин, кісток та суглобів, сечо- та жовчовивідних шляхів; тяжких нозокоміальних інфекціях різної локалізації, викликаних полірезистентною та змішаною (аеробно-анаеробною) мікрофлорою: інфекції нижніх дихальних шляхів (пневмонія, абсцес легень, емпієма плеври), ускладнені інфекції сечовивідних шляхів; сепсис (тиментин). П. проявляють різноманітні побічні ефекти. Алергічні реакції: кропив’янка, висип, набряк Квінке, лихоманка, еозинофілія, бронхоспазм, анафілактичний шок (частіше при використанні бензилпеніціліну). «Ампіциліновий» висип констатують у 75–100% пацієнтів з інфекційним мононуклеозом (ампіцилін). Неалергічний («ампіциліновий») макулопапульозний висип, який не супроводжується свербежем і може зникнути без відміни препарату (амінопеніциліни). Можлива перехресна алергія з іншими β-лактамними антибіотиками, особливо з цефалоспоринами. Кандидоз порожнини рота та/або вагінальний кандидоз (аміно-, карбокси-, уреїдо- та інгібіторозахищені П.). Дисбактеріоз (тривале використання П., особливо широкого спектра дії). ЦНС: головний біль, тремор, судоми (частіше у дітей і пацієнтів з нирковою недостатністю при прийомі карбеніциліну або дуже високих доз бензилпеніциліну). ШКТ: нудота, блювання, діарея, псевдомембранозний коліт (частіше при прийомі ампіциліну та інгібіторозахищених П.). Порушення електролітного балансу: гіперкаліємія (при використанні високих доз бензилпеніциліну калієвої солі у хворих з нирковою недостатністю, а також при поєднанні її з калійзберігаючими діуретиками, препаратами калію або інгібіторами АПФ); гіпернатріємія, яка може супроводжуватись появою або посиленням набряків у пацієнтів із серцевою недостатністю, підвищенням АТ (частіше при прийомі карбеніциліну, рідше − уреїдопеніцилінів та високих доз бензилпеніциліну натрієвої солі). Місцеві реакції: біль та інфільтрати при в/м уведенні (особливо бензилпеніциліну калієвої солі), флебіти при в/в уведенні (частіше при використанні карбеніциліну). Гепатотоксичність: лихоманка, нудота, блювання (частіше при використанні оксациліну у дозах >6 г/добу або інгібіторозахищених П.). Гематологічні реакії: зниження рівня гемоглобіну, нейтропенія (частіше при використанні оксациліну); порушення агрегації тромбоцитів, іноді з тромбоцитопенією (при використанні карбеніциліну, рідше — уреїдопеніцилінів). Нефротоксичність: транзиторна гематурія у дітей (частіше оксацилін); інтерстиціальний нефрит. Хронічна серцева недостатність: поява або посилення набряків (високі дози бензилпеніциліну натрієвої солі, карбеніциліну та меншою мірою інших П.). Судинні ускладнення: синдром Оне − ішемія та гангрена кінцівок при введенні в артерію; синдром Ніколау — емболія судин легень та головного мозку при введенні у вену (бензатин бензилпеніцилін). Патологія згортання крові: порушення агрегації тромбоцитів, може підвищувати ризик кровотечі (карбеніцилін). Артеріальна гіпертензія: підвищення АТ (високі дози бензилпеніциліну натрієвої солі, карбеніциліну, меншою мірою інших П.). У зв’язку з зазначеними побічними ефектами виникають протипоказання: хворі із підвищеною чутливістю до П. та інших β-лактамів; пацієнти з бронхіальною астмою, кропив’янкою, сінною лихоманкою та іншими алергічними захворюваннями, при інфекційному мононуклеозі; при годуванні грудьми. Протипоказанням до ендолюмбального введення П. є епілепсія. П. не рекомендують уводити більше 20 000 000 ОД/добу особам >60 років та вагітним, приймати дітям до 12 років (піперацилін), а також у I триместр вагітності (амоксиклав). Резистентність до П. з’являється при призначенні їх у низьких дозах або при передчасній відміні. При сумісному використанні П. з феноксиметилпеніциліном та азлоциліном можлива псевдопозитивна реакція при встановленні рівня глюкози та уробіліногену. Розчини П. необхідно використовувати тільки свіжовиготовленими, оскільки у разі тривалого зберігання антибіотики руйнуються з утворенням речовин, які мають більш сильні алергізувальні властивості, ніж вихідний препарат. Препарати П. при застосуванні внутрішньо краще вживати натщесерце (за винятком амоксициліну). Не слід одночасно призначати П. із антибіотиками бактеріостатичної дії, сульфаніламідами, оскільки вони знижують їх ефективність. П. неможна змішувати в одному шприці з аміноглікозидами. П. несумісні з адреналіном, α-глобуліном, глюкозою, калію йодидом, вітамінами С, Р, К, В1, В12, антикоагулянтами. Клоксацилін несумісний із тетрациклінами, еритроміцином, поліміксином В; піперацилін несумісний із гідрокарбонатом натрію. Тіментин несумісний із препаратами крові, гідролізатом білків. При поєднанні ампіциліну та хелікоцину з алопуринолом зростає ризик появи шкірних висипів. При поєднанні амоксициліну та метронідазолу підвищується їх токсичність (диспепсія, гепатит, біль в епігастрії, коліт, нефрит, порушення гемопоезу), особливо на фоні алкоголю. Одночасне введення бензилпеніциліну калієвої солі та неоміцину спричиняє розвиток тромбофлебіту, а прийом сумісно із стрептоміцином — зниження скорочувальної функції міокарда. При одночасному прийомі бензатин бензилпеніциліну з НПЗП (індометацин, саліцилати, фенілбутазон) зменшується його виведення. До їди приймають феноксиметилпеніцилін, під час їди — хелікоцин. П. не можна змішувати в одному шприці або в одній інфузійній системі з аміноглікозидами через їх фізико-хімічну несумісність. При поєднанні ампіциліну з алопуринолом зростає ризик появи «ампіцилінового» висипу. Прийом бензилпеніциліну калієвої солі у високих дозах у поєднанні з калійзберігаючими діуретиками, препаратами калію або інгібіторами АПФ підвищується ризик гіперкаліємії. Треба дотримуватись обережності при поєднанні П., активних відносно синьогнійної палички, з антикоагулянтами та антиагрегантами через потенційний ризик підвищення кровотечі. Не рекомендують поєднувати П. із тромболітиками. Слід запобігати використанню П. у поєднанні з сульфаніламідами, оскільки можливе зниження їх бактерицидного ефекту. Колестирамін зв’язує П. у ШКТ та знижує їх біодоступність при прийомі внутрішньо. Пероральні П. можуть знижувати ефективність пероральних контрацептивів за рахунок порушення ентерогепатичної циркуляції естрогенів. П. можуть сповільнювати виведення з організму метотрексату за рахунок інгібування його канальцевої секреції. Високі дози бензилпеніциліну натрієвої солі, карбеніциліну та меншою мірою інших П. можуть призводити до зниження ефективності антигіпертензивних препаратів.
Грэхам-Смит Д.Г., Аронсон Дж.К. Оксфордский справочник по клинической фармакологии и фармакотерапии / Пер. с англ. — М., 2000; ДФУ. — Х., 2001; Практическое руководство по антиинфекционной терапии / Под ред. Л.С. Страчунского, Ю.Б. Белоусова, С.Н. Козлова. — М., 2002; Скакун М.П., Посохова К.А. Фармакологія. — Тернопіль, 2002; Машковский М.Д. Лекарственные средства. — М., 2004; Фармацевтична хімія: Підручник / За заг. ред. П.О. Безуглого. — Вінниця, 2008; Харкевич Д.А. Фармакология. — М., 1999; European Pharmacopoeia. 3-rd ed. — Council of Europe. — Strasbourg, 1999.
