АЛКАЛОЇДИ ТРОПАНОВОГО РЯДУ. Тропан становить біциклічну конденсовану систему, яка складається з піролідинового (A) і піперидинового (B) циклів з метильною групою при атомі Нітрогену:

Тропан є структурною основою ряду алкалоїдів та їх синтетичних аналогів. Похідні тропану — важливі лікарські речовини, до яких належать холінолітики (атропіну сульфат, гіосціаміну камфорат, скополаміну камфорат, скополаміну гідробромід, гоматропіну гідробромід, атровент або іпратропію бромід, тровентол); активні речовини протипаркінсонічної дії (тропацин або дифенілтропіну гідрохлорид); речовини антиадренергічної дії (тропафен або троподифену гідрохлорид та ін.).
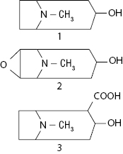
За хімічною будовою А.т.р. можна розділити на: групу атропіну (1) — похідні вторинного спирту тропіну (3-окситропану) (атропін, гіосціамін, їх синтетичні аналоги — гоматропін, дифенілтропін, троподифен); скополамін — похідне спирту скопіну (2), який відрізняється від тропіну наявністю кисневого містка в положенні 6,7; групу кокаїну (3) — похідні спиртокислоти екгоніну (3-окси-2-карбокситропану) — кокаїн та його супутники:

За хімічною будовою А.т.р. (таблиця) та їх синтетичних аналогів належать до числа естерів тропіну (4). Атропін — естер тропіну й d,l-тропової кислоти (див. Атропіну сульфат), а гіосціамін і скополамін — естери l—тропової кислоти. Тропацин — естер дифенілоцтової кислоти, гоматропін — мигдальної кислоти, тропафен — α-феніл-β-(п-ацетоксифеніл)пропіонової кислоти:

Таблиця. А.т.р.
| А.т.р. | R1 | R2 | X |
| Атропіну сульфат | -CH2OH | -C6H5 | H2SO4 |
| Гоматропіну гідробромід |
-OH | -C6H5 | HBr |
| Тропацин | -C6H5 | -C6H5 | HCl |
| Тропафен | -CH2-C6H4-OCOCH3 | -C6H5 | HCl |
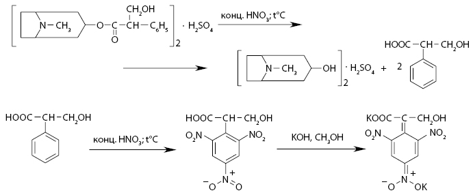
А.т.р. містяться в рослинах родини Пасльонові (беладона, дурман, блекота, скополія тощо). Основним джерелом одержання атропіну є коріння скополії (див. Скополія), а також коріння та листя беладони (див. Беладона); скополаміну гідробромід одержують з насіння дурману індійського (див. Дурман). Одержання синтетичних аналогів А.т.р. здійснюють із тропіну за загальною схемою синтезу естерів (конденсація спирту тропіну й відповідної кислоти або її хлорангідриду). За фізичними властивостями похідні тропану — білі кристалічні речовини, наявність слабкого кремового відтінку допускається в дифенілтропіну гідрохлориду (тропацину) і троподифену гідрохлориду (тропафену). Солі тропанових алкалоїдів та їх синтетичних аналогів легко розчиняються у воді (атропіну сульфат — дуже легко), легкорозчинні в етанолі (скополаміну гідробромід — розчинний, а гоматропіну гідробромід — помірно розчинний). У хлороформі атропіну сульфат практично нерозчинний, скополаміну гідробромід дуже малорозчинний, гоматропіну гідробромід малорозчинний, а дифенілтропіну і троподифену гідрохлориди легкорозчинні. За розчинністю у хлороформі можна відрізнити природні алкалоїди від синтетичних аналогів. Ідентифікацію похідних тропану проводять методом ІЧ-спектроскопії за збігом смуг поглинання з фармакопейним стандартним зразком або еталонним спектром і за характерними особливостями УФ-спектрів поглинання, або методами газорідинної хроматографії, ВЕРХ. Для ідентифікації алкалоїдів похідних тропану використовують також хімічні реакції: гідролізу, нітрування, окиснення, виявлення аніонів, нейтралізації, зумовлених наявністю в молекулах третинного атома нітрогену, естерної групи, фенольного радикала, зв’язаних неорганічних кислот. Груповою реакцією ідентифікації алкалоїдів групи тропану є реакція Віталі — Морена. При нагріванні сполук з концентрованою азотною кислотою спочатку відбувається гідроліз, продуктами якого є тропова чи дифенілоцтова кислоти, подальше нітрування яких спричиняє утворення полінітросполук. Полінітросполуки після розчинення в ацетоні зі спиртовим розчином калію гідроксиду утворюють забарвлені у фіолетовий колір ацинітросолі хіноїдної структури. Схема реакції на прикладі тропової кислоти:






Цю реакцію не дає гоматропіну гідрохлорид, що дозволяє відрізнити його від інших сполук зазначеної групи. Похідні тропану дають реакції із загальноалкалоїдними осадовими реактивами, серед яких у фармацевтичному аналізі найчастіше застосовують розчини калію йодвісмутату, калію йодиду йодованого, пікринової кислоти. Речовини групи тропану ідентифікують за характерною Tпл. субстанцій, а солі атропіну сульфат та гоматропіну гідробромід — за Tпл. основ, що утворюються після осадження дією гідроксидів лужних металів. Солі алкалоїдів похідних тропану визначають за наявністю аніонів (залишків кислот) — атропіну сульфат за наявністю сульфат-іона; дифенілтропін та троподифену гідрохлориди — хлорид-іона; скополаміну гідробромід і гоматропіну гідробромід дають позитивну реакцію на бромід-іон. При нагріванні основи атропіну, скополаміну та гоматропіну з концентрованою сульфатною кислотою за наявності кристалічного калію дихромату утворюється бензальдегід із характерним запахом гіркого мигдалю:
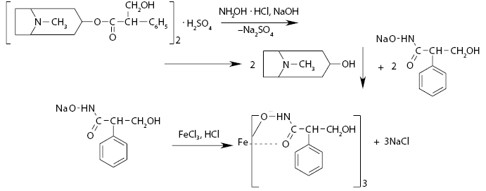
Естерну групу в молекулах алкалоїдів похідних тропану визначають гідроксамовою реакцією (утворюються гідроксамати заліза (III) червоно-фіолетового кольору):
Кількісне визначення алкалоїдів похідних тропану проводять методом ацидиметрії в неводному середовищі, використовуючи як розчинники безводну оцтову кислоту, як титрант — 0,1 М розчин кислоти хлорної. Еквівалентну точку встановлюють потенціометричним методом або за допомогою індикатора кристалічного фіолетового. Титрування гідрохлоридів, а також гідробромідів проводять за наявності ртуті (ІІ) ацетату (для пригнічення дисоціації галогенід-іонів):
Визначення атропіну сульфату проводять без додавання ртуті (II) ацетату, тому що кислота сульфатна в цих умовах поводиться як одноосновна кислота:
Кількісне визначення можна проводити також методом нейтралізації у водно-спиртовому середовищі з додаванням хлороформу. Суміш органічних розчинників використовується з метою екстрагування (розчинення) та зменшення основності алкалоїдів. Титрують 0,1 М розчином натрію гідроксиду, а момент еквівалентності визначають потенціометрично чи за допомогою індикатора фенолфталеїну:
Для кількісного визначення похідних тропану використовують також методи аргентометрії, меркуриметрії, зворотної йодометрії; у ЛП визначають методом спектрофотометрії чи фотоколориметрії.
Беликов В.Г. Фармацевтическая химия. — Пятигорск, 1996; ДФУ. — Х., 2001; Машковский М.Д. Лекарственные средства. — М., 2012; Туркевич М.М., Владзімірська О.В., Лесик Р.Б. Фармацевтична хімія. — Вінниця, 2003; Химическая энциклопедия: В 5 т. / Ред. И.Л. Кнунянц и др. — М., 1988.
