ПОЛІЕТИЛЕНГЛІКОЛЬ (ПЕГ), макрогол, Polyethylene glycol (NSPNF), Macrogols (BP), Macrogola (Ph Eur), Macrogol 400, 1500, 4000, 6000, 20000 (JP); хімічна назва α-Hydro-ω-hydroxypoly(oxy-1,2ethanediyl) (в САS регістрі № 25322–68–3); син.: Carbowax, Lipoxol, Litrol E, polyoxyethylene glycol — загальна назва поліконденсованих полімерів етиленгліколю або полімеризованих полімерів окису етилену і води, представлених емпіричною формулою НОСН2(СН2ОСН2)mСН2ОН, де m — середнє число оксіетиленових груп. Відповідно загальна формула ПЕГ:
Н(ОСН2 — СН2)nОН,
де n — кількість m + 1 і визначає ступінь полімеризації, яка більше або дорівнює 4, напр., n ПЕГ 200=4,2. Зустрічається інша емпірична формула ПЕГ: (С2Н4О)n+1Н2О. Структурна формула:

або НОСН2–(СН2–О–СН2)n–СН2ОН. Мол. м. 200–9500
Термін ПЕГ вживається у поєднанні з числовим суфіксом, який показує середню мол. м., напр. ПЕГ 400. Полімери з мол. м. між 200 і 700 є в’язкими рідинами, а з мол. м. >1000 — воскоподібними твердими речовинами.
ПЕГ одержують шляхом полімеризації окису етилену за наявності води та каталізатора під тиском:
КОН
n(ОСH2–CH2)+ nH2O
H(OCH2–CH2)nOH
або поліконденсації етиленгліколю:
nHOCH2–CH2OH + nHOCH2–CH2OH 
HO(CH2–CH2O)n + H2O.
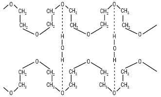
Домішками продукту є оксид етилену та етиленгліколі. Виробляються з різним ступенем полімеризації (ПЕГ 400, ПЕГ 1500 та ПЕГ 4000). ПЕГ з мол. м. від 200 до 600 — рідкі; ≥1000 — тверді, ПЕГ 600 — майже твердий при температурі оточуючого середовища. Рідкі ПЕГ — прозорі безбарвні або ледь забарвлені в жовтий колір; мають легкий, але характерний запах і гіркуватий, ледь пекучий смак. Дуже гігроскопічні (ця властивість зменшується зі збільшенням мол. м.). ПЕГ — білі, воскоподібні за консистенцією маси, що нагадують парафін. Мають слабкий солодкуватий смак. Тверді ПЕГи з мол. м. ≥4000 — негігроскопічні. Характерною ознакою ПЕГ є добра розчинність у воді. Встановлено, що додавання до гелю води до 2% зміцнює його структуру, що пояснюється «зшиванням» макромолекул ПЕГ за допомогою водневих зв’язків у нові утворення з більш обмеженою рухливістю, що можна представити таким чином:

Подальше додавання води спричиняє його гідратацію з розривом водневих зв’язків та зменшенням в’язкості гелю. ПЕГ з вуглеводнями та жирами утворюють емульсії. Деякі інші їх властивості наведені в таблиці.
ПЕГ хімічно стабільні на повітрі в розчинах; затримують ріст мікроорганізмів, не гіркнуть. Рідкі ПЕГ та їх розчини можна стерилізувати (автоклавуванням, фільтруванням, гамма-випромінюванням). Стерилізація твердих ПЕГ сухим жаром (до 150 ˚С) протягом години може призвести до окиснення, потемніння та утворення кислих продуктів деградації. Тому їх краще стерилізувати в інертній атмосфері при додаванні відповідного антиоксиданта, а Тпл повинна бути близькою до забезпечення плинності. Зберігають ПЕГ у герметичних контейнерах (з нержавіючої сталі, алюмінієвих, скляних) у прохолодному сухому місці.
Усі види ПЕГ, включаючи їх етери, мають певну окисну активність (особливо при температурі >50 ˚С) завдяки наявності пероксидних домішок і вторинних продуктів, утворених при автоокисненні. ПЕГ мають низку позитивних властивостей: низька токсичність, відсутність помітної побічної дії на організм, розчинність у воді та інших полярних розчинниках, стійкість до дії світла, температури, вологи, мала чутливість до зміни рН (при введенні до їх складу електролітів), стійкість до мікробної контамінації (мають у молекулі первинні гідроксильні групи, що зумовлюють слабку бактерицидну дію). ПЕГ-гелі перспективні для використання в медичній та фармацевтичній практиці; мають низьку поверхневу активність (майже у 2 рази нижче іонних ПАР) і знижують турбулентний опір рідинного потоку. Ці виняткові властивості ПЕГ пояснюються спіралеподібною конфігурацією молекули, яка зберігається при його розчиненні.
ПЕГ 300 (у якого n змінюється від 5 до 6,4) та ПЕГ 400 (n змінюється від 8,2 до 9,1) використовують як розчинники і диспергатори; ПЕГ 600 (n змінюється від 12,5 до 13,9) і ПЕГ 1500 (n змінюється від 29 до 36) використовують як мазеві та супозиторні основи, ПЕГ 1500 використовують також як пом’якшувальну речовину. ПЕГ 4000 (середнє значення n=80) і ПЕГ 6000 (середнє значення n=185) використовують як компоненти мазевої й супозиторної основ та як ковзну речовину при виготовленні таблеток.
ПЕГ можна розглядати не тільки як допоміжні речовини, але й як АФІ. Так, напр., присутність ПЕГ 400 і ПЕГ 1500 у співвідношенні 8:2 у ЛП Левосин і Левомеколь зумовлюють їх некролітичну, дегідратаційну та виражену осмотичну активність, а також позитивний вплив на якісні та кількісні показники при лікуванні інфікованих ран. Це дає підстави вважати зазначені ЛП як такі, що не мають допоміжних речовин. ПЕГ-гелі мають здатність підвищувати активність багатьох антисептиків (особливо левоміцетину). Вони є бажаними у виробництві ліків з гідрокортизоном, антибіотиками, сульфаніламідами, місцевими анестетиками, ферментами та іншими АФІ. ПЕГ входять до складу ЛП (парентеральні, для місцевого застосування, офтальмологічні, ректальні). Використовуються в системах з контрольованим вивільненням АФІ. ПЕГ — стабільні гідрофільні продукти, що не виявляють подразливої дії на шкіру. Вони не зразу проникають крізь шкіру, хоча є водорозчинними і легко змиваються зі шкіри; зазначені властивості зумовлюють їх придатність для використання в мазевих основах, напр., комбінуючи ПЕГ 400 і ПЕГ 1500 у різних співвідношеннях, можна одержати гелеві основи різної консистенції. Суміші ПЕГ можуть використовуватись і як супозиторні основи, де вони у порівнянні з жирними основами мають переваги: можуть використовуватись у тропічних кліматичних зонах; вивільнення АФІ не залежить від Тпл основи; більш стабільні, легко змішуються з ректальними рідинами. Проте мають і певні недоліки: більш реакційноздатні, сильніше подразнюють слизову оболонку порівняно з жирами; важче отримуються однорідні супозиторії; зменшується швидкість вивільнення водорозчинних діючих речовин. Водні розчини ПЕГ можуть використовувати або як суспендуючий агент, або для регулювання в’язкості інших суспендуючих речовин. При використанні в поєднанні з іншими емульгаторами можуть стабілізувати емульсії, а рідкі ПЕГ використовують як водозмішуючі розчинники при виготовленні м’яких желатинових капсул. Однак вони можуть зумовлювати затвердіння капсульних оболонок шляхом вибіркової абсорбції вологи із желатину в оболонці. В концентрації до 30% ПЕГ 300 і ПЕГ 400 використовують як носії для парентеральних дозованих ЛП; ПЕГ можуть підвищувати ефективність зв’язування речовин у таблетках, впливати на пластичність гранул (однак при використанні без сполучення з іншими допоміжними речовинами мають обмежену зв’язувальну дію), пролонгувати розпадання таблеток (у разі якщо їх концентрація >5%). Використовують при термопластичній грануляції (суміші розтертих порошків з 10–15% ПЕГ 6000 нагрівають до 70–75 оС; при охолодженні та перемішуванні утворюються гранули; технологія може бути використана при виготовленні дозованих ЛП, напр. льодяників, коли необхідне пролонговане вивільнення). ПЕГ можуть бути також використані для підвищення водорозчинності речовин або покращання характеристик розчинності шляхом отримання твердих дисперсій. Для отримання плівкового покриття таблеток їх використовують як гідрофільні полірувальні матеріали, або пластифікатори (допомагають уникнути руйнування плівкового покриття під час таблетування мікрокапсул). ПЕГ з мол. м. 6000 і більше можуть використовувати як мастильні речовини, особливо для водорозчинних таблеток, хоча й поступаються стеарату магнію (при високих температурах пресування матеріал стає липким). Застосовують також для виготовлення уретанових гідрогелів з контрольованим вивільненням АФІ, в інсулінових мікрочастинках (для орального застосування інсуліну), у ліках під тиском (для покращання розпилювання частинок аерозолю). ПЕГ-наночастинки використовують для покращання оральної біопридатності циклоспорину, а також як носій для отримання біоадгезивних матеріалів з контрольованою доставкою АФІ.
ПЕГ-гелі виявляють виражену осмотичну активність, що зумовлює їх широке застосування у виробництві гелів для лікування інфікованих ран, де вони забезпечують осмотичну й дегідратаційну дію, що у свою чергу прискорює термін загоєння рани. ЛП, що містять ПЕГ, мають високу ефективність, особливо при ексудативних дерматозах, для лікування яких не можуть бути використані ліки на жирових і вуглеводневих носіях. ПЕГ-гелі добре розчиняють велику кількість лікарських речовин, легко їх вивільняють, забезпечуючи добрий контакт зі шкірою чи рановою поверхнею тканин, що у свою чергу значно підвищує їх абсорбцію та активність. На відміну від мазей на гідрофобних основах, вони забезпечують постачання лікарських речовин в усі проблемні ділянки, де скупчується мікрофлора, знижують стійкість останніх відносно антисептиків. Дисперсні системи у вигляді ПЕГ-гелів легко змиваються, можуть зберігатися тривалий час та не гіркнуть. ПЕГ входять до рецептури багатьох ЛП, поліпшують їх технологічні характеристики, підвищують ефективність; вони мають власну лікувальну ефективність. Є підстави вважати, що використані не всі потенційні можливості ПЕГ у виробництві різних ЛП. Однак їх не можна поєднувати з фенолом, резорцином, тимолом, ментолом, йодидами, бромідами і деякими іншими речовинами, що мають гідроксильні та карбоксильні групи. Слід враховувати, що фармакологічна дія одних АФІ, напр. левоміцетину, може різко зростати, інших — знижуватися чи зовсім зникати, напр. пеніциліну, бацитрацину, фенобарбіталу, парабенів, що вимагає проведення індивідуальних досліджень при обґрунтуванні фармацевтичного розроблення ЛП, до складу яких входять ПЕГ. Крім того, вони зневоднюють слизові оболонки, викликаючи дискомфорт при застосуванні супозиторних та офтальмологічних ліків. З фізичних змін за наявності ПЕГ слід відмітити розм’якшення деяких пластиків (поліетилен, фенолформальдегід, полівінілхлорид, целюлозно-ефірні мембрани у фільтрах тощо).
В інших галузях використовується як піногасник при виробництві молока, антистатик і зволожувач у текстильній промисловості, а також при виробництві цукру, спирту, кераміки, гідравлічних рідин.
Авт. свид. № 194263. Г.С. Башура, В.И. Богданова. Способ повышения антибактериальной активности антибиотиков. Опубл. в Б.и., 1967. — № 8; Перцев І.М., Даценко Б.М., Гунько В.Г. Розробка лікарських препаратів багатоспрямованої дії на гнійно-запальний процес (Обґрунтування складу, виробництво, клінічний досвід застосування) // Фармац. журн. — 1991. — № 3; Перцев И.М., Котенко А.М., Чуешов О.В. и др. Фармацевтические и биологические аспекты мазей: Монография / Под ред. проф. И.М. Перцева. — Х., 2003; Miralles M.J., VcGinity J.W., Martin A. Combined water-soluble carriers for coprecipitates of tolbutamide // J. Pharm. Sci. — 1982. — № 71; Calcium phosphate-PEG-insulin-casein (CAPIC) particles as oral delivery systems for insulin / Marcel T., Nagappan P., Nerenbaum L. et al. // Int. J. Pharm. — 2004. — № 277; Jaiswal J., Gupta S.K., Kreuter J. Preparation of biodegradable cyclosporine nanoparticles by high-pressure emulsion-solvent evaporation process // J. Control, Release. — 2004. — № 96.

