ПОЛІНУКЛЕОТИДИ (грец. poly — багато + лат. nucleus — ядро) — біополімери, які складаються з великої кількості зв’язаних між собою мононуклеотидів (нуклеотидів). П. — це нуклеїнові кислоти РНК і ДНК (див. Нуклеїнові кислоти). Мономерні одиниці П. (мононуклеотиди) складаються з трьох різних компонентів: азотистої основи, пентози і залишку фосфорної кислоти. Азотисті основи П. за хімічною структурою розподіляються на дві групи — пуринові й піримідинові. Серед них є головні і так звані мінорні основи. До головних пуринових основ належать аденін (А), гуанін (Г); до піримідинових — цитозин (Ц), урацил (У) та тимін (Т). До ДНК входять А, Г, Ц і Т, а до РНК — А, Г, Ц і У. П. у невеликій кількості містять мінорні основи: дигідроурацил, 5-метилцитозин, тіоурацил, гіпоксантин, метильовані аденін і гуанін та ін. Залежно від будови пентози нуклеотиди поділяють на рибонуклеотиди і дезоксирибонуклеотиди. Рибонуклеотиди, з яких складаються молекули РНК, містять D-рибозу, а дезоксирибонуклеотиди, з яких будуються молекули ДНК, — D-2-дезоксирибозу. Пентоза з’єднується з основою N-глікозидним зв’язком, який утворюється С1-атомом пентози і N1-атомом піримідинової основи або N9-атомом пуринової основи. П. за своєю структурою відносять до класу лінійних полімерів. Остов П. має однакову будову по всій довжині молекули і складається з груп, які чергуються — пентоза-фосфат-пентоза (рисунок). Варіабельними групами в полінуклеотидних ланцюгах є азотисті основи. Унікальність структури і функціональна індивідуальність молекул П. визначається їх первинною структурою, яка являє собою порядок розміщення нуклеотидів у полінуклеотидному ланцюгу. Зв’язок між нуклеотидами здійснюється через залишок фосфорної кислоти, яка бере участь в утворенні двох ефірних зв’язків за участю 3'- і 5'-карбонових атомів двох сусідніх пентоз. Тому зв’язок між мономерами називають 3',5'-фосфодіефірним.

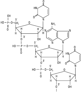
Рисунок. Фрагмент ланцюга РНК
Кожен полінуклеотидний ланцюг має 5'- і 3'-кінець. Кінцеві нуклеотиди розрізняються за структурою: на 5'-кінці знаходиться фосфатна група, а на 3'-кінці ланцюга — вільна ОН-група. Лінійну послідовність нуклеотидів у полімерному ланцюгу П. зазвичай скорочено записують за допомогою однолітерного коду, напр., А-Г-Ц-Т-Т-А-Ц-А- від 5'- до 3'-кінця, тобто в напрямку 5'→3'. Послідовність нуклеотидів у нуклеїнових кислотах можна схематично зобразити так:

Фрагменти П. олігонуклеотиди можна розглядати як перспективний засіб для лікування спадкових захворювань людини. Так, розроблені терапевтичні системи з використанням олігонуклеотидів для лікування хворих (на рак, запалення, вірусних та паразитарних інфекцій), пов’язаних з гіперпродукцією нормального білка. Невеликий олігонуклеотид може гібридизуватися зі специфічним геном або мРНК і знижувати рівень транскрипції або трансляції, зменшуючи тим самим кількість синтезованого білка, відповідального за патологію. Проведеними доклінічними дослідженнями доведено, що такі олігонуклеотиди є ефективними ЛП при їх використанні для лікування стенозу коронарних і сонних артерій, який спричиняє виникнення інфарктів та інсультів.
Глик Б., Пастернак Дж. Молекулярная биотехнология. Принципы и применение. — М., 2002; Марри Р., Греннер Д., Мейес П., Родуэлл В. Биохимия человека. — В 2 т. — М., 1993; Основы биохимии / А. Уайт, Ф. Хендлер, Э. Смит и др. — В 3 т. — М., 1981.
